Ответы
Ответ дал:
0
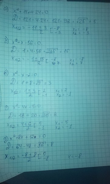
X^2 + 11X + 24 = 0
D = 121 - 96 = 25 ; √ D = 5
X1 = ( - 11 + 5 ) : 2 = ( - 3 )
X2 = ( - 11 - 5) : 2 = ( - 8 )
-------------------------------
X^2 + X - 56 = 0
D = 1 + 224 = 225 ; √ D = 15
X1 = ( - 1 + 15 ) : 2 = 7
X2 = ( - 1 - 15 ) : 2 = ( - 8 )
-------------------------------
X^2 - X - 2 = 0
D = 1 + 8 = 9 ; √ D = 3
X1 = ( 1 + 3 ) : 2 = 2
X2 = ( 1 - 3 ) : 2 = ( - 1 )
--------------------------------
X^2 - 4X - 5 = 0
D = 16 + 20 = 36 ; √ D = 6
X1 = ( 4 + 6 ) : 2 = 5
X2 = ( 4 - 6) : 2 = ( - 1 )
-------------------------------
X^2 + 8X + 12 = 0
D = 64 - 48 = 16 ; √ D = 4
X1 = ( - 8 + 4 ) : 2 = ( - 2 )
X2 = ( - 8 - 4 ) : 2 = ( - 6 )
D = 121 - 96 = 25 ; √ D = 5
X1 = ( - 11 + 5 ) : 2 = ( - 3 )
X2 = ( - 11 - 5) : 2 = ( - 8 )
-------------------------------
X^2 + X - 56 = 0
D = 1 + 224 = 225 ; √ D = 15
X1 = ( - 1 + 15 ) : 2 = 7
X2 = ( - 1 - 15 ) : 2 = ( - 8 )
-------------------------------
X^2 - X - 2 = 0
D = 1 + 8 = 9 ; √ D = 3
X1 = ( 1 + 3 ) : 2 = 2
X2 = ( 1 - 3 ) : 2 = ( - 1 )
--------------------------------
X^2 - 4X - 5 = 0
D = 16 + 20 = 36 ; √ D = 6
X1 = ( 4 + 6 ) : 2 = 5
X2 = ( 4 - 6) : 2 = ( - 1 )
-------------------------------
X^2 + 8X + 12 = 0
D = 64 - 48 = 16 ; √ D = 4
X1 = ( - 8 + 4 ) : 2 = ( - 2 )
X2 = ( - 8 - 4 ) : 2 = ( - 6 )
Ответ дал:
0
на, держи. удачи. это вроде тема нетрудная
Приложения:

Ответ дал:
0
Спасибо!
Вас заинтересует
2 года назад
2 года назад
7 лет назад
10 лет назад
10 лет назад