• Предмет: Алгебра
  • Автор: Karishaalma
  • Вопрос задан 10 лет назад

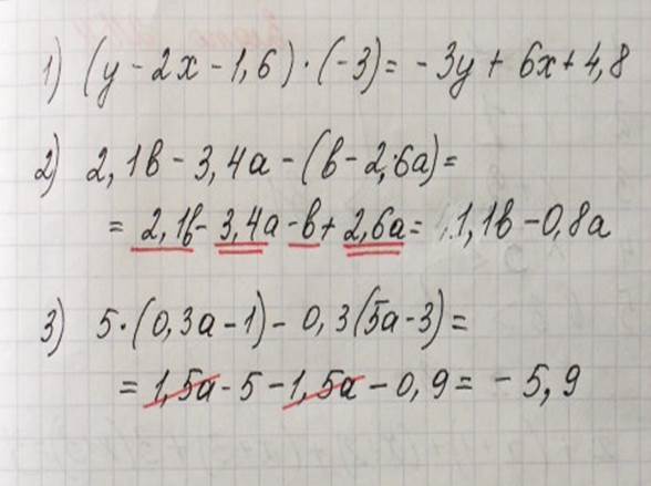
Спростiть вираз:1) (у-2х-1,6)*(-3),   2) 2,1b-3,4а-(b-2,6а),  3)5*(0,3а-1)-0,3(5а-3).Помогите пожалуйста)))

Ответы

Ответ дал: ПростоЛёка
0
◕‿◕◕‿◕** Решение во вложении **.◕‿◕◕‿◕
Приложения:
Вас заинтересует