• Предмет: Алгебра
  • Автор: msgula1970
  • Вопрос задан 10 лет назад

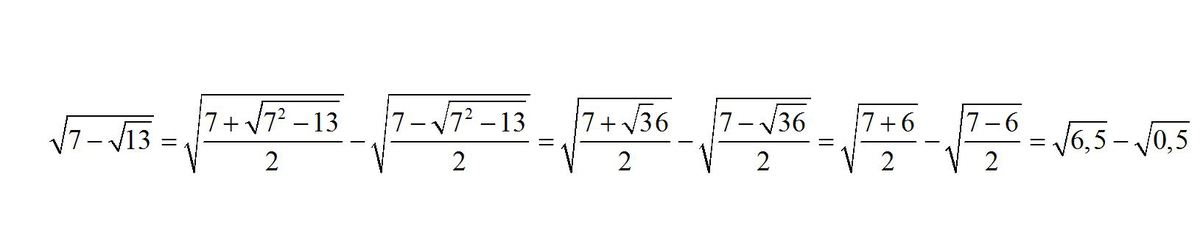
Используя формулы сложных корней, упростите выражение
 sqrt{7- sqrt{13} }

Ответы

Ответ дал: Корнелиус
0
Решение см. вложение
===============================
Приложения:
Вас заинтересует