а) Решите уравнение .
б) Найдите все корни этого уравнения, принадлежащие отрезку .
Приложения:
Ответы
Ответ дал:
0
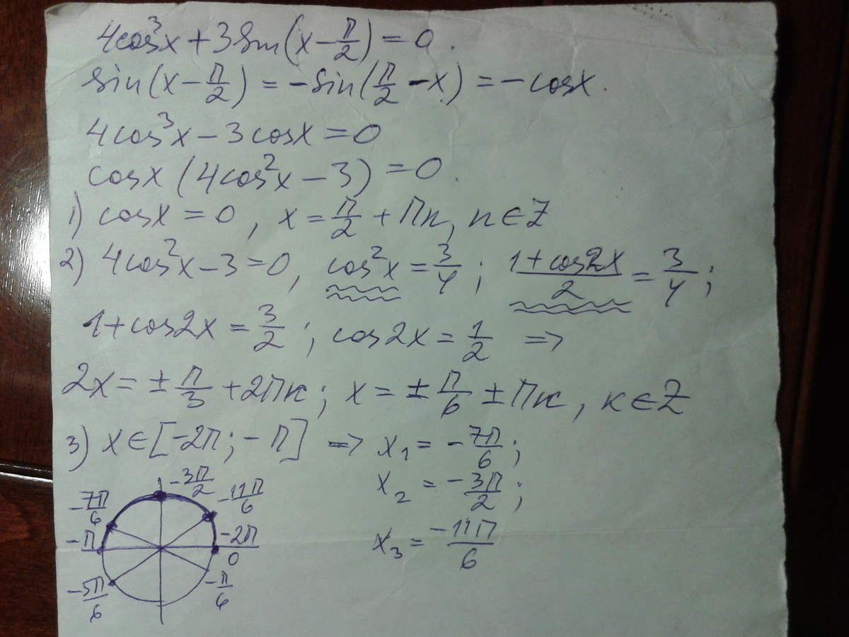
4cos^3 x + 3cosx = 0
cosx(4cos^2 - 3) = 0
cosx = 0 или 4cos^2 х = 3
x1 = pi/2 + pin
4cos^2 х = 3
cos^2 х = 3/4
cosx = +-v3/4
x2 = +-pi/6 + 2pin
x3 = +-5pi/6 + 2pin
x1 = pi/2 + pin
n = -2. x = pi/2 - 2pi = -3pi/4
x2 = +-pi/6 + 2pin
n = -1, x = +-pi/6 - 2pi = -11pi/6
x3 = +-5pi/6 + 2pin
n = -1. x = +-5pi/6 - 2pi = -7pi/6
cosx(4cos^2 - 3) = 0
cosx = 0 или 4cos^2 х = 3
x1 = pi/2 + pin
4cos^2 х = 3
cos^2 х = 3/4
cosx = +-v3/4
x2 = +-pi/6 + 2pin
x3 = +-5pi/6 + 2pin
x1 = pi/2 + pin
n = -2. x = pi/2 - 2pi = -3pi/4
x2 = +-pi/6 + 2pin
n = -1, x = +-pi/6 - 2pi = -11pi/6
x3 = +-5pi/6 + 2pin
n = -1. x = +-5pi/6 - 2pi = -7pi/6
Ответ дал:
0
Вложение ........................................
Приложения:
Вас заинтересует
3 года назад
3 года назад
8 лет назад
11 лет назад
11 лет назад