Ответы
Ответ дал:
0
x - 4y = 2,
xy + 2y = 8
x - 4y = 2
y( x + 2) = 8
Выражаем икс, подставляем его во второе уравнение
x = 2 + 4y
y ( 4y + 2 + 2) = 8 **
** Решаем его:
y ( 4y + 4) = 8
4y^2 + 4y - 8 = 0 // : 4
y^2 + y - 2 = 0
Решим уравнение через дискриминант
D = 1 + 4*2 = 9
y1 = ( - 1 + 3)/2 = 1
y2 = ( - 1 - 3)/2 = - 2
Получаем 2 случая
1)
x1 = 2 + 4y = 2 + 4 = 6
y1 = 1
2)
x2 = 2 + 4y = 2 - 8 = - 6
y2 = - 2
Ответ:
( - 6; - 2) ; ( 6; 1)
xy + 2y = 8
x - 4y = 2
y( x + 2) = 8
Выражаем икс, подставляем его во второе уравнение
x = 2 + 4y
y ( 4y + 2 + 2) = 8 **
** Решаем его:
y ( 4y + 4) = 8
4y^2 + 4y - 8 = 0 // : 4
y^2 + y - 2 = 0
Решим уравнение через дискриминант
D = 1 + 4*2 = 9
y1 = ( - 1 + 3)/2 = 1
y2 = ( - 1 - 3)/2 = - 2
Получаем 2 случая
1)
x1 = 2 + 4y = 2 + 4 = 6
y1 = 1
2)
x2 = 2 + 4y = 2 - 8 = - 6
y2 = - 2
Ответ:
( - 6; - 2) ; ( 6; 1)
Ответ дал:
0
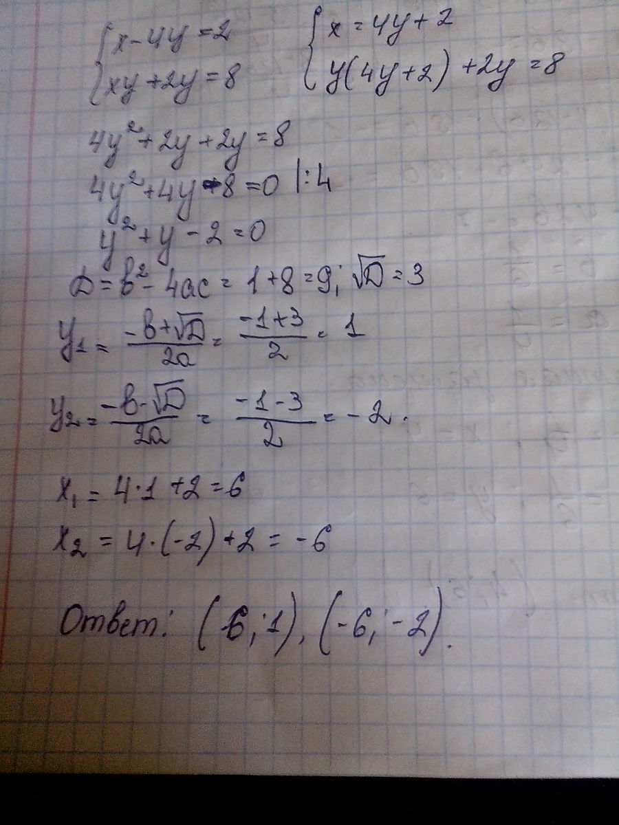
решение вашего задания
Приложения:
Вас заинтересует
3 года назад
3 года назад
8 лет назад
8 лет назад
10 лет назад