Ответы
Ответ дал:
0
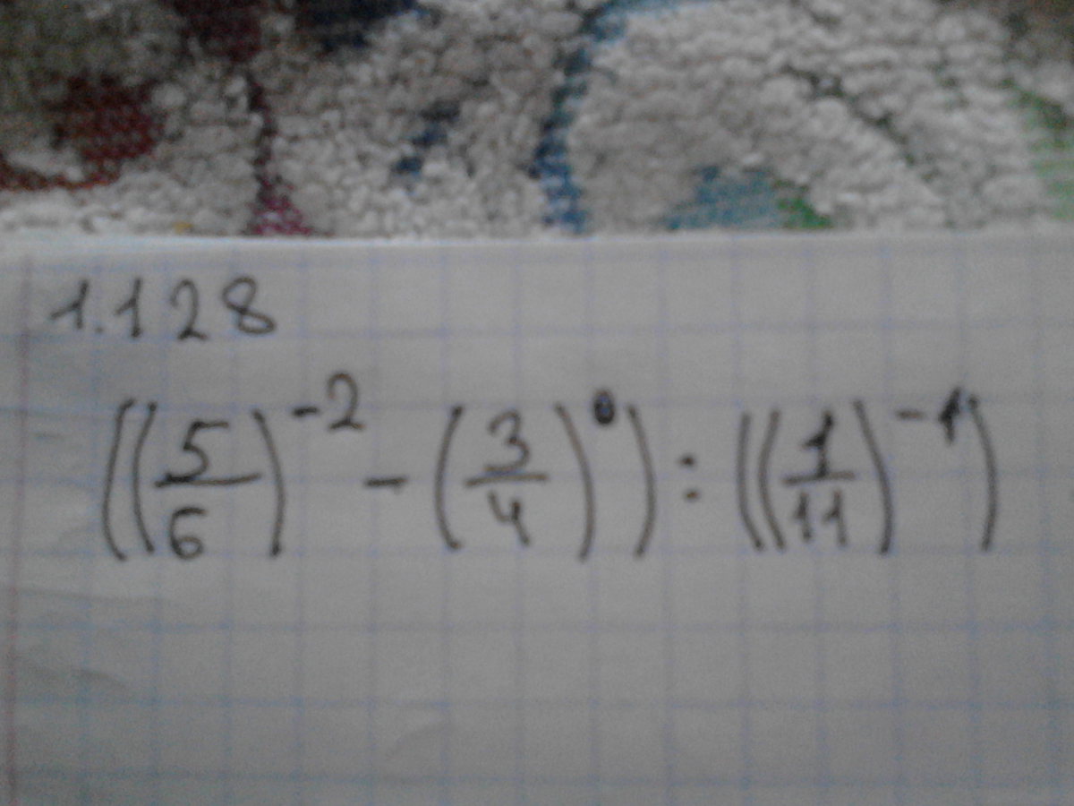
1) (5/6)^-2 = (6/5)² = 36/25
2) (3/4)^0=1
3) 36/25 - 1 = 36/25 - 25/25 = 11/25 = 0,44
4) (1/11)^-1=(11/1)^1=11/1=11
5) 0,44:11=0,04
2) (3/4)^0=1
3) 36/25 - 1 = 36/25 - 25/25 = 11/25 = 0,44
4) (1/11)^-1=(11/1)^1=11/1=11
5) 0,44:11=0,04
Вас заинтересует
3 года назад
3 года назад
8 лет назад
8 лет назад
11 лет назад
11 лет назад
11 лет назад