Ответы
Ответ дал:
0
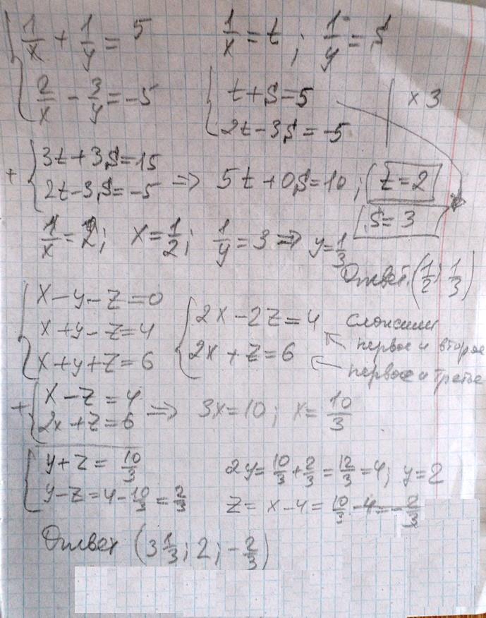
решение систем уравнений .................
Приложения:


Ответ дал:
0
infor?
Ответ дал:
0
Во второй системе Ответ (3;2;1) см решение во втором файле
Ответ дал:
0
ок
Ответ дал:
0
http://znanija.com/task/6873722 не знаешь ка в д сделать?
Вас заинтересует
2 года назад
7 лет назад
7 лет назад
10 лет назад
10 лет назад
10 лет назад
10 лет назад