• Предмет: Алгебра
  • Автор: SvetJIana
  • Вопрос задан 10 лет назад

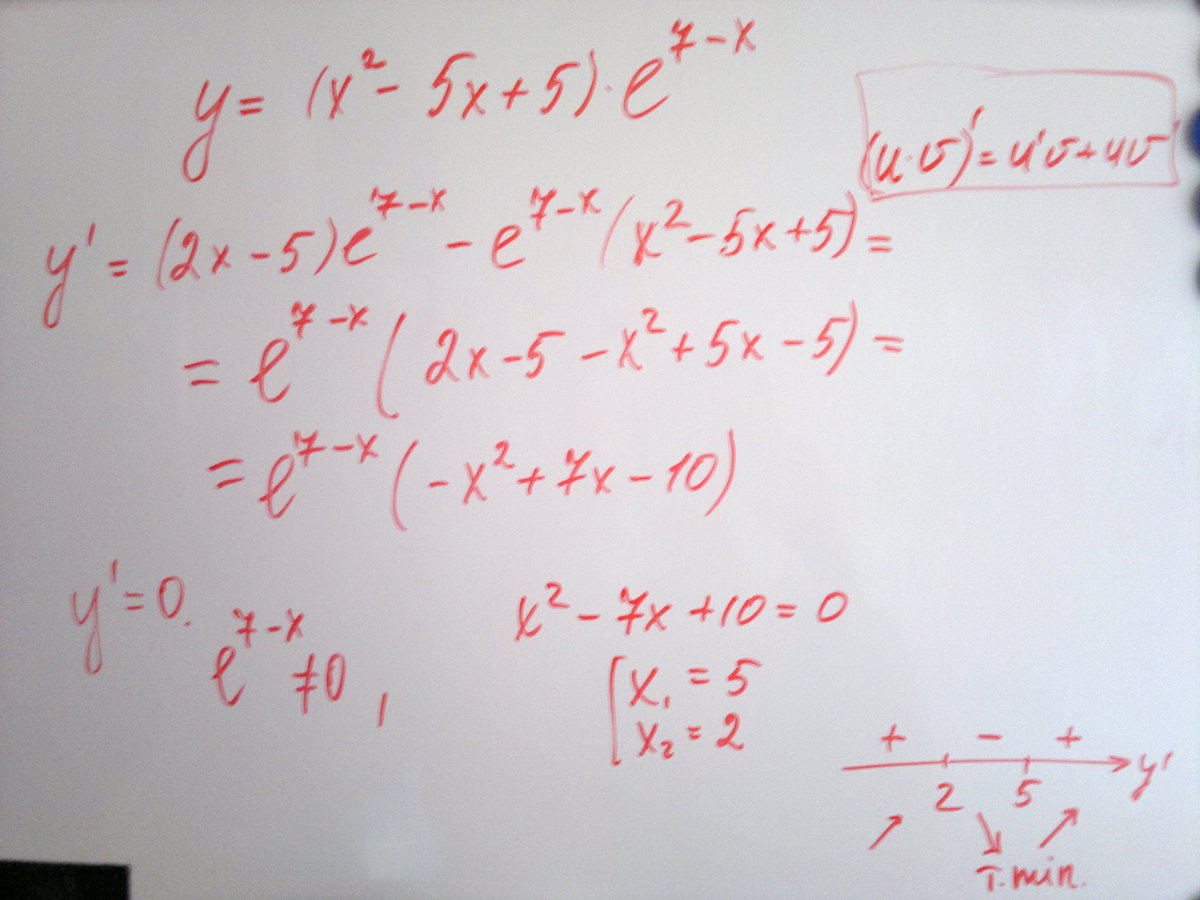
y=(x^2-5x+5)e^(7-x) найти точку минимума функции

Ответы

Ответ дал: RepetitorUFA
0
Решение на фото, которое прикреплено
т.минимума 5.
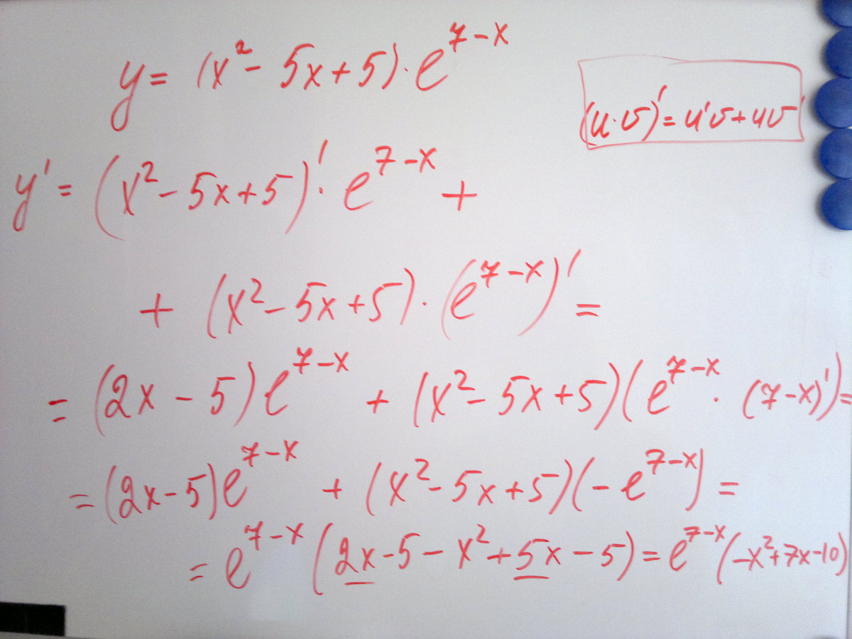
на втором фото подробно нашла производную, понятно будет откуда минус
Приложения:
Ответ дал: SvetJIana
0
2,5 0 4,5
Ответ дал: SvetJIana
0
бред какой-то :(
Ответ дал: SvetJIana
0
Я где-то в интернете нашла решение, и там ответ 2,5. Но там вообще не понятно как решали... А мне надо понять...
Ответ дал: RepetitorUFA
0
может ты условие не так написала. сфоткай условие
Ответ дал: SvetJIana
0
условие правильное. Что-то не нахожу как прикрепить фото в комментарий..
Вас заинтересует