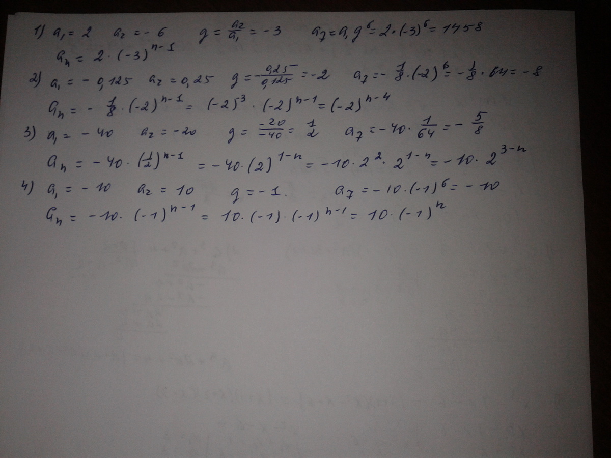
как найти 7-й и n-й член геометрической прогрессии 1) 2;-6... 2)- 0.125;0.25... 3)-40;-20...4)-10;10;-10...
Ответы
Ответ дал:
0
...........................................................
Приложения:
Вас заинтересует
3 года назад
3 года назад
8 лет назад
8 лет назад
10 лет назад
10 лет назад
11 лет назад