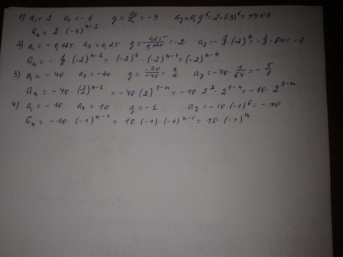
Найдите 7-й и n-й члены геометрической прогрессии:1)2;-6;....;2)-0,125;0,25;....;3)-40;-20; ....;4)-10;10;-10;....
Ответы
Ответ дал:
0
...........................................................
Приложения:

Вас заинтересует
2 года назад
7 лет назад
7 лет назад
10 лет назад
10 лет назад