Ответы
Ответ дал:
0
Задачка с логарифмом
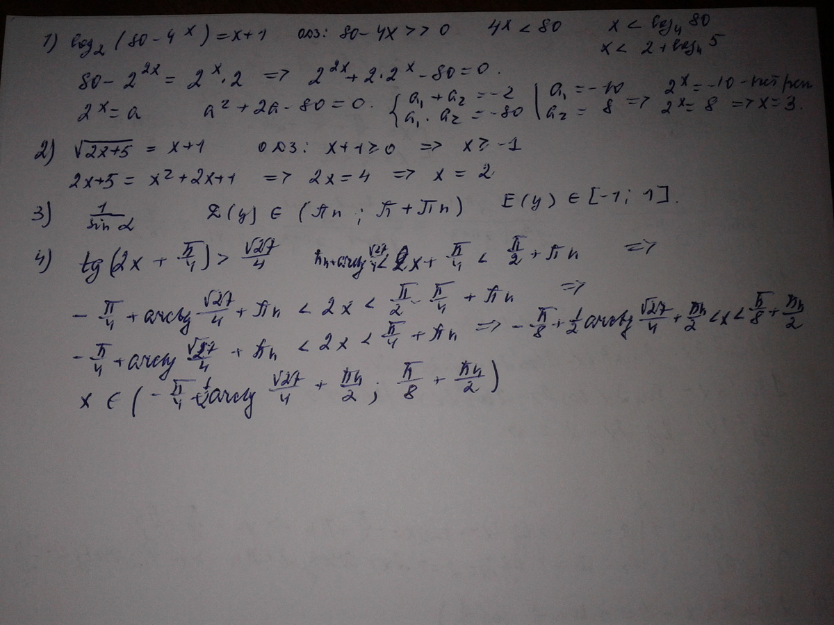
Можно записать уравнение в виде:
2^(x+1) = 80 - 4^x (по определению логарифма)
Тогда:
2*2^x = 80 - (2^x)^2
Пусть y = 2^x
Получили квадратное уравнение:
2*y = 80 - y^2
или
y^2 + 2*y - 80 =0
Дискриминант:
D = b^2 - 4*a*c = 4 + 4*1*80 = 324
Корень из дискриминанта равен 18,
тогда:
y1 = (-2 -18)/2 = -10 - не годен, т.к y>0
y2 = (-2 + 18)/2
y2 = 8 (y2 = - 8 не годен по той же причине)
Имеем 8 = 2^x
2^3 = 2^x
тогда :
х = 3
Ответ: х = 3
Можно записать уравнение в виде:
2^(x+1) = 80 - 4^x (по определению логарифма)
Тогда:
2*2^x = 80 - (2^x)^2
Пусть y = 2^x
Получили квадратное уравнение:
2*y = 80 - y^2
или
y^2 + 2*y - 80 =0
Дискриминант:
D = b^2 - 4*a*c = 4 + 4*1*80 = 324
Корень из дискриминанта равен 18,
тогда:
y1 = (-2 -18)/2 = -10 - не годен, т.к y>0
y2 = (-2 + 18)/2
y2 = 8 (y2 = - 8 не годен по той же причине)
Имеем 8 = 2^x
2^3 = 2^x
тогда :
х = 3
Ответ: х = 3
Ответ дал:
0
Извини, но остальные задания я не разобрал на фото, перешли, пожалуйста, их еще раз. Дедушка Сад
Ответ дал:
0
///////////////////////////////////////////////////
Приложения:
Вас заинтересует
3 года назад
8 лет назад
8 лет назад
10 лет назад
10 лет назад
11 лет назад