Ответы
Ответ дал:
0
решение вашего задания
Приложения:


Ответ дал:
0
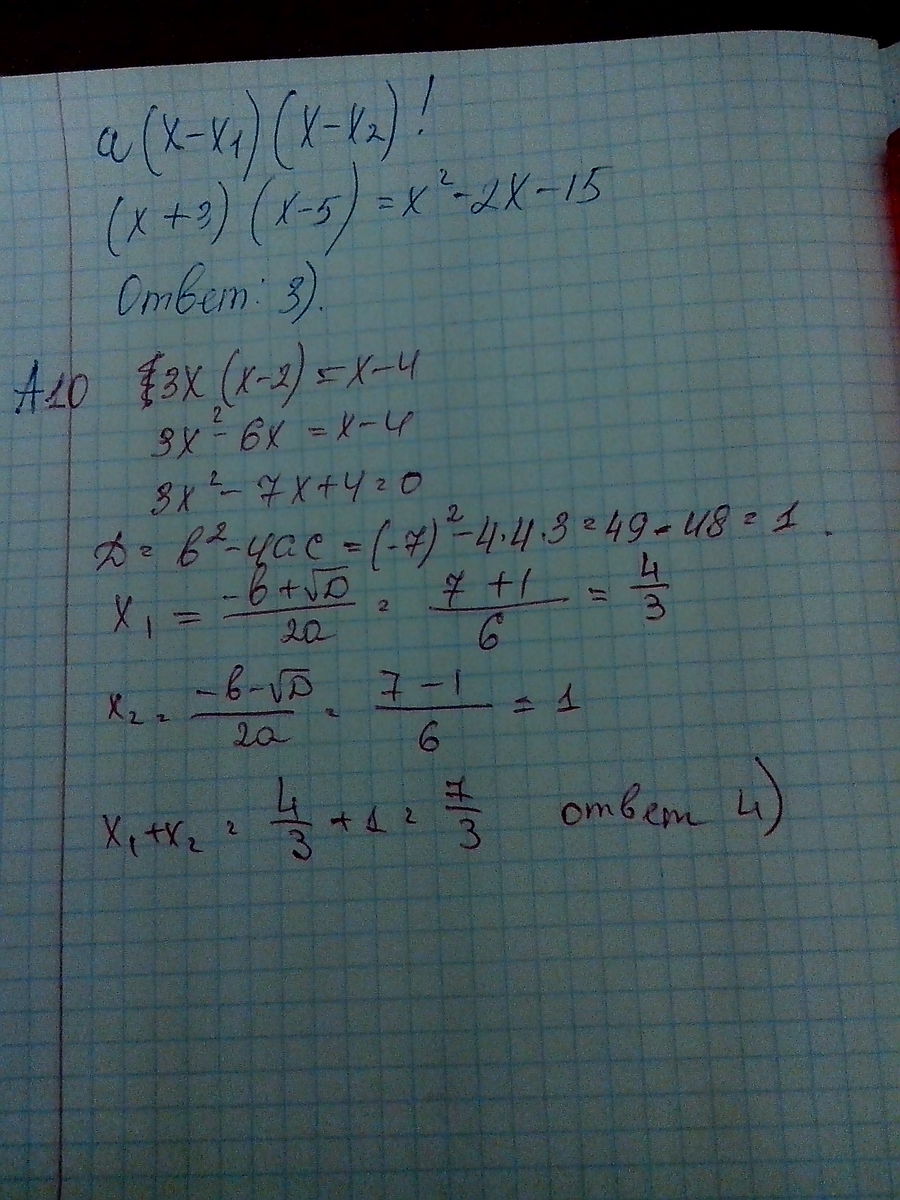
А9.
Проверяем первое уравнение:
х=-3.
-3²-15*(-3)+2=9+45+2=56≠0 не подходит
Проверяем второе уравнение:
х=-3
-3²+2*(-3)-15=9-6-15=-12≠0 не подходит
Проверяем третье уравнение:
х=-3
-3²-2*(-3)-15=9+6-15=0 верно
х=5
5²-2*5-15=25-10-15=0 верно
Проверяем четвертое уравнение:
х=-3
-3²-2*(-3)+15=9+6+15=30≠0 не подходит
Ответ: 3.
А10.
3х(х-2)=х-4
3х²-6х-х+4=0
3х²-7х+4=0
D=b²-4ac=49-48=1
x1=-b+√D/2a=7+1/6=8/6=4/3=1 1/3
x2=-b-√D/2a=-7+1/6=6/6=1
x1+x2= 1 1/3 + 1 = 2 1/3 = 7/3
Ответ: 4.
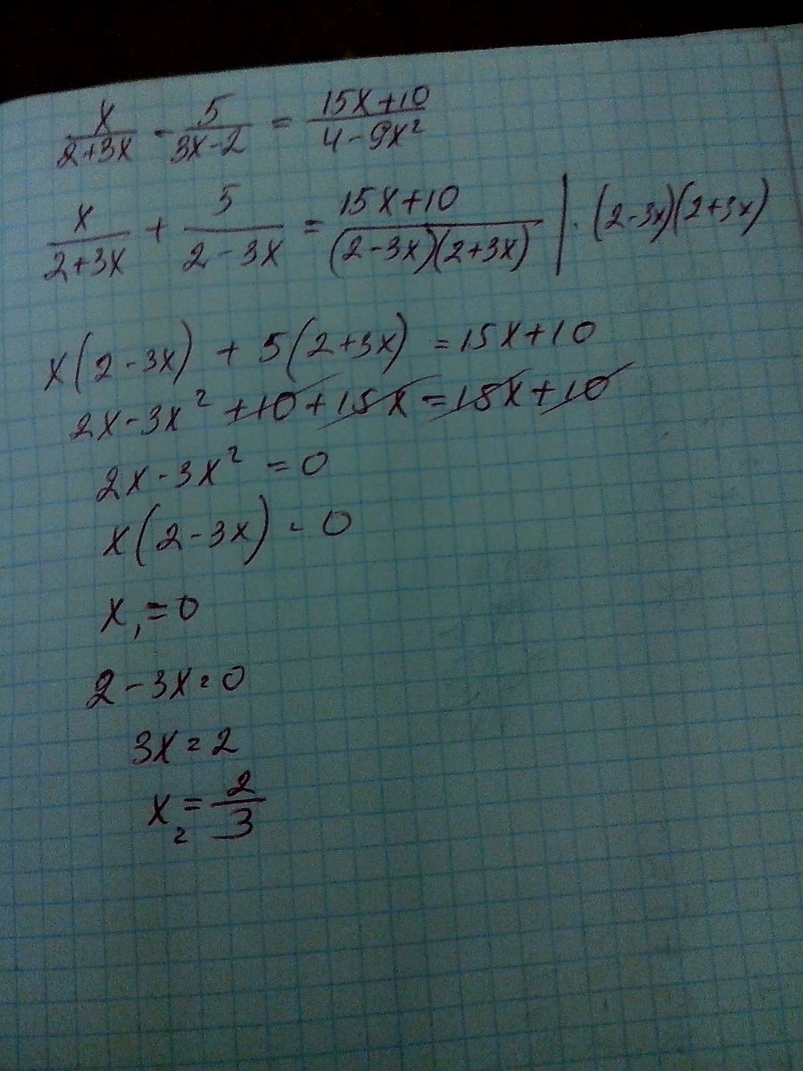
В1.
х/2+3х - 5/3х-2 = 15х+10/4-9х²
ОДЗ:
2+3х≠0
3х≠-2
х≠-2/3
3х-2≠0
3х≠2
х≠2/3
4-9х²≠0
-9х²≠-4
х²≠4/9
х≠2/3
х≠-2/3
х(3х-2)+5(3х+2)=15х+10
3х²-2х+15х+10-15х+10=0
3х²-2х=0
х(3х-2)=0
х=0 или 3х-2=0
3х=2
х=2/3 не подходит ОДЗ
Ответ: х=0
Проверяем первое уравнение:
х=-3.
-3²-15*(-3)+2=9+45+2=56≠0 не подходит
Проверяем второе уравнение:
х=-3
-3²+2*(-3)-15=9-6-15=-12≠0 не подходит
Проверяем третье уравнение:
х=-3
-3²-2*(-3)-15=9+6-15=0 верно
х=5
5²-2*5-15=25-10-15=0 верно
Проверяем четвертое уравнение:
х=-3
-3²-2*(-3)+15=9+6+15=30≠0 не подходит
Ответ: 3.
А10.
3х(х-2)=х-4
3х²-6х-х+4=0
3х²-7х+4=0
D=b²-4ac=49-48=1
x1=-b+√D/2a=7+1/6=8/6=4/3=1 1/3
x2=-b-√D/2a=-7+1/6=6/6=1
x1+x2= 1 1/3 + 1 = 2 1/3 = 7/3
Ответ: 4.
В1.
х/2+3х - 5/3х-2 = 15х+10/4-9х²
ОДЗ:
2+3х≠0
3х≠-2
х≠-2/3
3х-2≠0
3х≠2
х≠2/3
4-9х²≠0
-9х²≠-4
х²≠4/9
х≠2/3
х≠-2/3
х(3х-2)+5(3х+2)=15х+10
3х²-2х+15х+10-15х+10=0
3х²-2х=0
х(3х-2)=0
х=0 или 3х-2=0
3х=2
х=2/3 не подходит ОДЗ
Ответ: х=0
Приложения:


Вас заинтересует
2 года назад
2 года назад
7 лет назад
7 лет назад
10 лет назад
10 лет назад
10 лет назад