Ответы
Ответ дал:
0
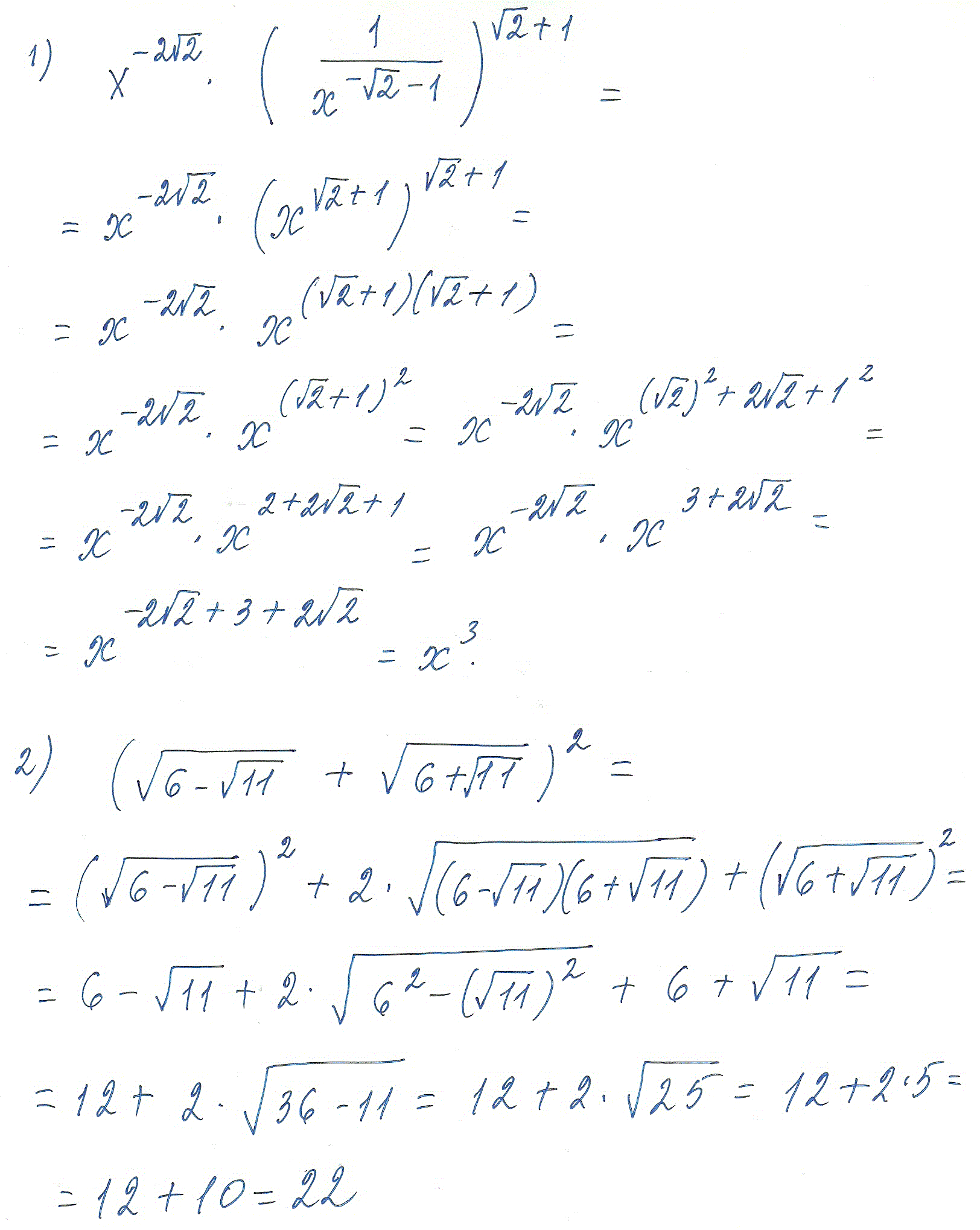
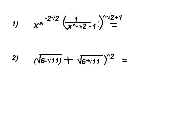
Решение в приложенном файле
Приложения:

Ответ дал:
0
x^-2sqrt(2)*x^(sqrt(2)+1)^2=x^(-2sqrt(2)+(sqrt(2)+1)^2)=x^3
2) 2sqrt(36-11)+6-sqrt(11)+6+sqrt(11)=2*5+12=22
Приложения:

Вас заинтересует
2 года назад
2 года назад
8 лет назад
8 лет назад
10 лет назад
10 лет назад