Ответы
Ответ дал:
0
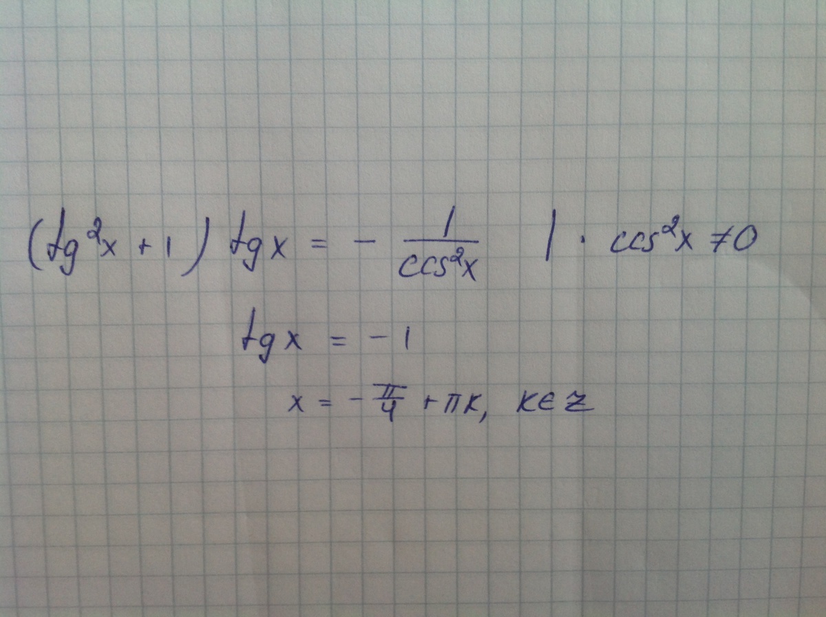
Запишем левую часть уравнения как -(1+tg²x), тогда обе части уравнения можно сократить на (1+tg²x), останется tgx=-1 ⇔ x=arctg(-1)+πn,n∈Z ⇔
⇔ x=-π/4+πn,n∈Z.
⇔ x=-π/4+πn,n∈Z.
Ответ дал:
0
Вроде бы как то вот получается
Приложения:

Вас заинтересует
2 года назад
2 года назад
7 лет назад
7 лет назад
10 лет назад
10 лет назад
10 лет назад