• Предмет: Геометрия
  • Автор: Tobichka
  • Вопрос задан 11 лет назад

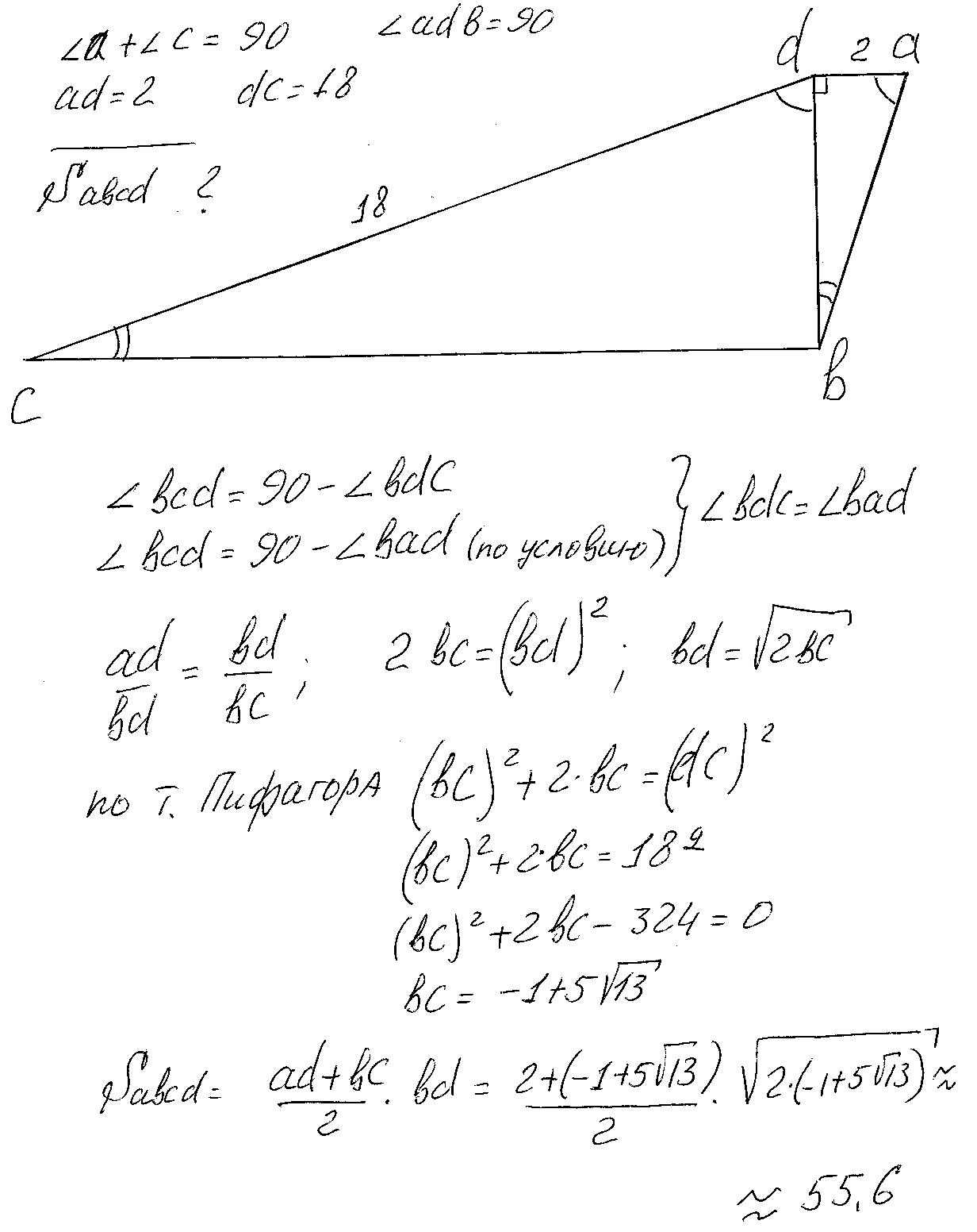
В трапеции abcd меньшая диагональ bd перпендикулярна основаниям ad и bc, сумма острых углов a и c равна 90. Найдите площадь трапеции, если основание ad=2, dc=18.

Ответы

Ответ дал: Fatter
0

Обозначим равные углы(смотри рисунок), затем из подобия треугольников bdc и adb находим соотношение bd и bc. По теореме Пифагора получим квадратное уравнение, решив которое находим bc и затем bd. Окончательный ответ Sabcd приблизительно равна 55,6.

Приложения:
Вас заинтересует