объясните пожалуйста, как решается, только доступно и понятно
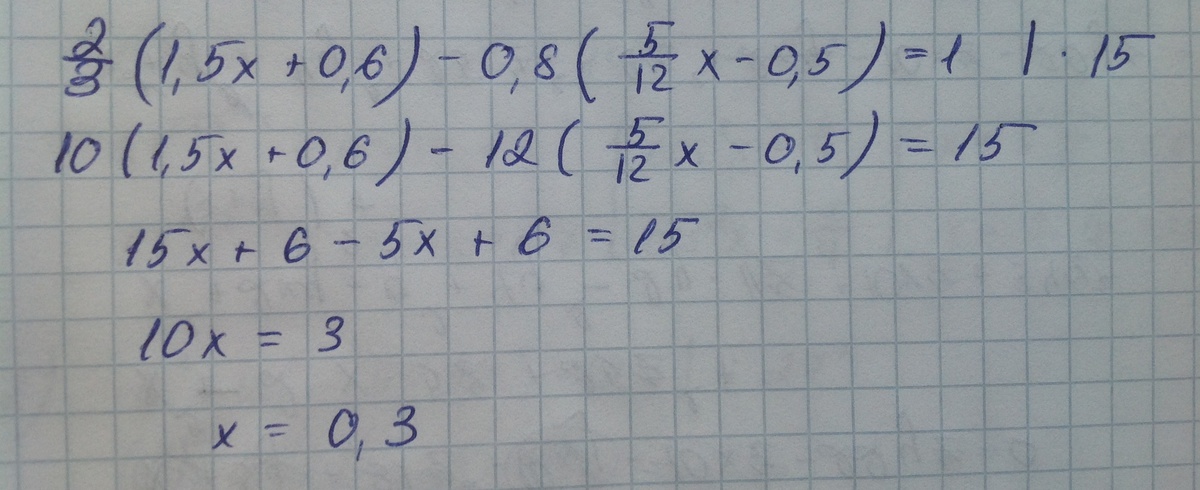
2/3 (1,5х + 0,6) - 0,8 (5/12х - 0,5) = 1
Ответы
Ответ дал:
0
Вот как то так и решается
Приложения:

Ответ дал:
0
у меня есть ответ, и решение, но мне нужно объяснение, как это решается.
и ответ не совпадает.
и ответ не совпадает.
Ответ дал:
0
(2*1,5/3)х+2*0,6/3-(0,8*5/12)х+0,5*0,8=1
х+0,4-1/3х+0,4=1
2/3х=1-0,4-0,4
2/3х=0,2
х=0,2/(2/3)
х=0,3
х+0,4-1/3х+0,4=1
2/3х=1-0,4-0,4
2/3х=0,2
х=0,2/(2/3)
х=0,3
Приложения:

Ответ дал:
0
у меня есть ответ, и решение, но мне нужно объяснение, как это решается.
и ответ не совпадает.
и ответ не совпадает.
Ответ дал:
0
ой, действительно всё правильно, ошиблась, извините)
Вас заинтересует
2 года назад
7 лет назад
7 лет назад
10 лет назад
10 лет назад