Ответы
Ответ дал:
0
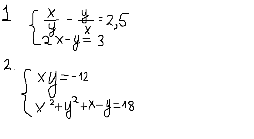
1) Из 2 уравнения получаем y = 2x - 3. Подставляем в 1 уравнение
x/(2x - 3) - (2x - 3)/x = 2,5 = 5/2
x =/= 0, x =/= 3/2
Умножаем всё на 2, на x и на (2x - 3)
2x^2 - 2(2x - 3)^2 = 5x(2x - 3)
2x^2 - 2(4x^2 - 12x + 9) = 10x^2 - 15x
-6x^2 + 24x - 18 = 10x^2 - 15x
16x^2 - 39x + 18 = 0
Решаешь квадратное уравнение, находишь x, потом подставляешь в y.
2) Из 2 уравнения
x^2 + y^2 + x - y = 18
x^2 - 2xy + y^2 + 2xy + x - y = 18
(x - y)^2 + x - y = 18 - 2xy
Подставляем 1 уравнение и раскладываем на множители левую часть
(x - y)(x - y + 1) = 18 - 2(-12) = 18 + 24 = 42 = 6*7 = (-6)(-7)
2 варианта
а) x - y = 6, x - y + 1 = 7, xy = -12
y = x - 6, x(x - 6) = -12, x^2 - 6x + 12 = 0
Решений нет
б) x - y = -7, x - y + 1 = -6, xy = -12
y = x + 7, x(x + 7) = -12, x^2 + 7x + 12 = 0
Решаешь квадратное уравнение, находишь x, потом подставляешь в y.
x/(2x - 3) - (2x - 3)/x = 2,5 = 5/2
x =/= 0, x =/= 3/2
Умножаем всё на 2, на x и на (2x - 3)
2x^2 - 2(2x - 3)^2 = 5x(2x - 3)
2x^2 - 2(4x^2 - 12x + 9) = 10x^2 - 15x
-6x^2 + 24x - 18 = 10x^2 - 15x
16x^2 - 39x + 18 = 0
Решаешь квадратное уравнение, находишь x, потом подставляешь в y.
2) Из 2 уравнения
x^2 + y^2 + x - y = 18
x^2 - 2xy + y^2 + 2xy + x - y = 18
(x - y)^2 + x - y = 18 - 2xy
Подставляем 1 уравнение и раскладываем на множители левую часть
(x - y)(x - y + 1) = 18 - 2(-12) = 18 + 24 = 42 = 6*7 = (-6)(-7)
2 варианта
а) x - y = 6, x - y + 1 = 7, xy = -12
y = x - 6, x(x - 6) = -12, x^2 - 6x + 12 = 0
Решений нет
б) x - y = -7, x - y + 1 = -6, xy = -12
y = x + 7, x(x + 7) = -12, x^2 + 7x + 12 = 0
Решаешь квадратное уравнение, находишь x, потом подставляешь в y.
Ответ дал:
0
А 2xy переносим направо
Ответ дал:
0
(x - y)^2 + x - y = 18 - 2xy
Ответ дал:
0
(x - y)(x - y + 1) = 18 - 2xy
Вас заинтересует
3 года назад
3 года назад
8 лет назад
8 лет назад
10 лет назад
11 лет назад