• Предмет: Алгебра
  • Автор: akadyrbekov
  • Вопрос задан 10 лет назад

отмеченые аалочкой помогите

Приложения:

Ответы

Ответ дал: Slavka96
0
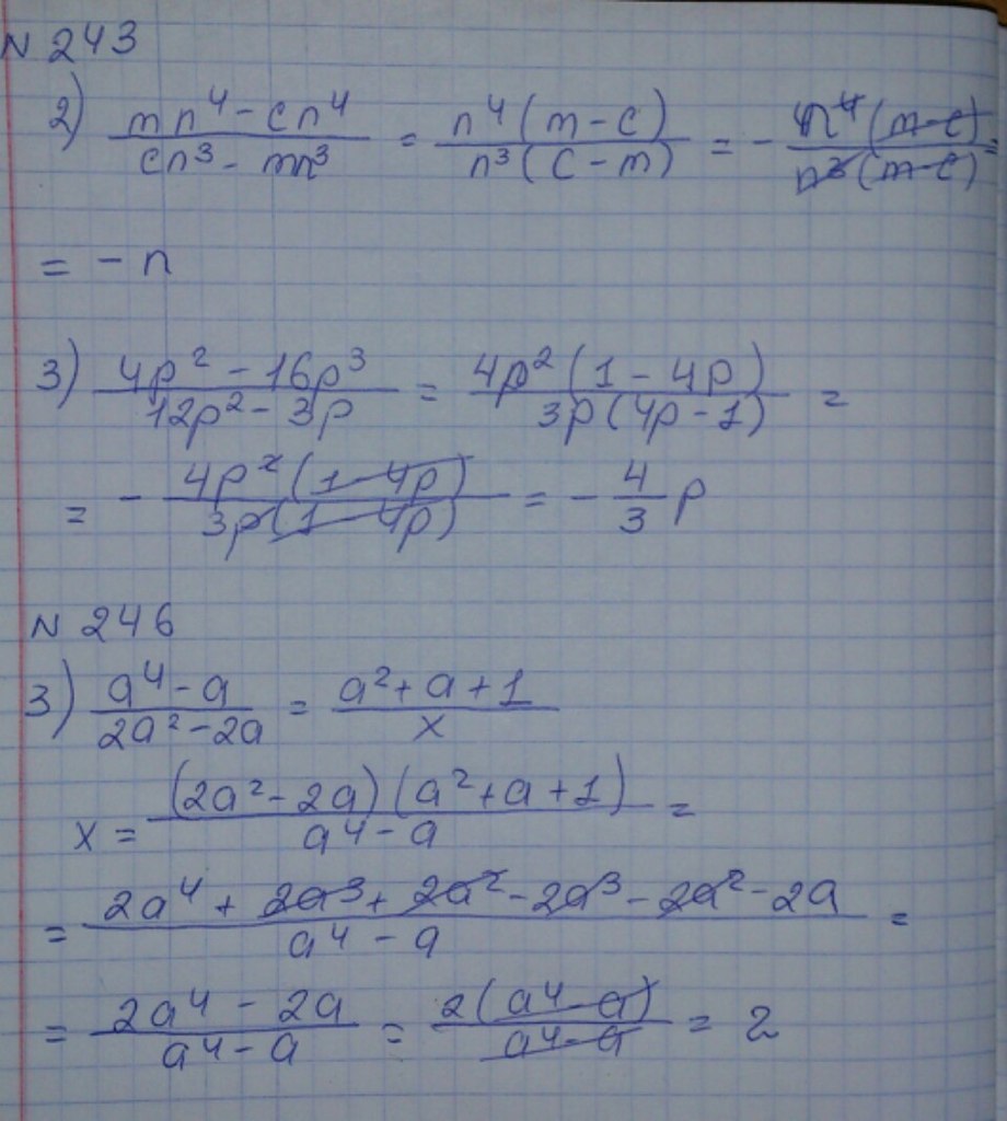
Ответы во вложении))).

Приложения:
Вас заинтересует