Ответы
Ответ дал:
0
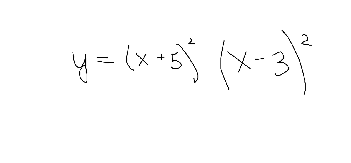
у=(х+5)²(х-3)²
Найдем производную функции как производную произведения
у`=2(х+5)(х-3)²+2(х+5)²(х-3)=2(х+5)(х-3)(х-3+х+5)=2(х-5)(х+3)(2х+2)
Приравняем производную к нулю и найдем критические точки:
2(х+5)(х-3)(2х+2)=0
х=-5, х=3,х=-1- критические точки
Найдем производную функции как производную произведения
у`=2(х+5)(х-3)²+2(х+5)²(х-3)=2(х+5)(х-3)(х-3+х+5)=2(х-5)(х+3)(2х+2)
Приравняем производную к нулю и найдем критические точки:
2(х+5)(х-3)(2х+2)=0
х=-5, х=3,х=-1- критические точки
Ответ дал:
0
Определим производную функции

Производная равна нулю

- критические точки
Производная равна нулю
Вас заинтересует
3 года назад
3 года назад
8 лет назад
8 лет назад
11 лет назад
11 лет назад