• Предмет: Алгебра
  • Автор: Rfnhby004
  • Вопрос задан 10 лет назад

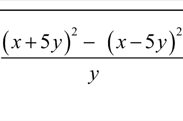
Сократите дробь, пожалуйста

Приложения:

Ответы

Ответ дал: daskaskazka
0
тадамс) наверное же так)
Приложения:
Вас заинтересует