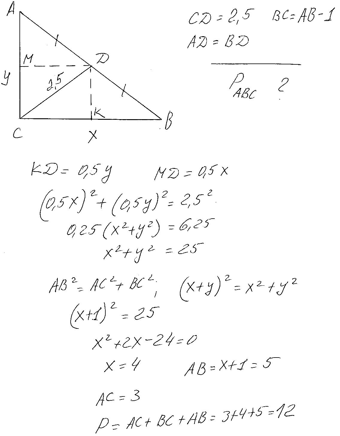
В прямоугольном треугольники АВС (угол С=90 градусов) проведена медиана CD, длина которой 2,5 см. Найти периметр треугольника, если один из катетов на 1 см меньше гипотенузы.
Ответы
Ответ дал:
0
Обозначим катеты ВС=Х, АС=у(смотри рисунок). И проведём перпендикуляры к ним МД и КД. Это будут средние линии. Дальше по теореме Пифагора и квадратное уравнение. Полученный треугольник "египетский". Ответ Р=12.
Приложения:

Вас заинтересует
2 года назад
2 года назад
8 лет назад
8 лет назад
10 лет назад
10 лет назад
10 лет назад