• Предмет: Алгебра
  • Автор: Аноним
  • Вопрос задан 11 лет назад

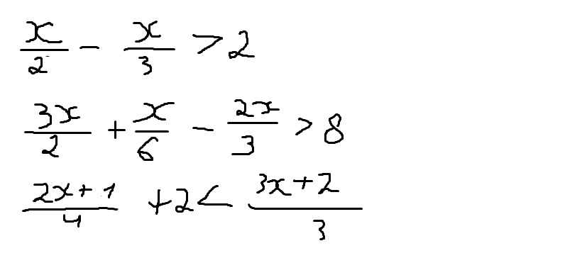
Помогите пожалуйста решить 3 примера во вложение по подробней. буду благодарен.

Приложения:

Ответы

Ответ дал: arsenlevadniy
0

frac{x}{2}-frac{x}{3}>2, \ 6(frac{x}{2}-frac{x}{3})>6cdot2, \ 6cdotfrac{x}{2}-6cdotfrac{x}{3}>12, \ 3x-2x>12, \ x>12.

 

frac{3x}{2}+frac{x}{6}-frac{2x}{3}>8, \ 6(frac{3x}{2}+frac{x}{6}-frac{2x}{3})>6cdot8, \ 9x+x-4x>48, \ 6x>48, \ x>8.

 

frac{2x+1}{4}+2<frac{3x+2}{3}, \ 12(frac{2x+1}{4}+2)<12cdotfrac{3x+2}{3}, \ 3(2x+1)+24<4(3x+2), \ 6x+3+24<12x+8, \ 6x-12x<8-27, \ -6x<-19, \ x>3frac{1}{6}.

Ответ дал: love12345
0

х/2-х/2>2

6*)х/6-2)х/6=2*6

3х-2х>12

х>12 

 

3х/2+х/6-2х/2>8

3)3х/6+х/6+2)2х/6>8*6

9х+х-4>48

6х>48

х>8

 

2х+1/4+2<3х+2/3

2х+1/12+12*2<3х+2/12

6х+3/12+24<12+8/12

6х+3+24<12х+8

6х-12х<8-3-24

-6Х<-19
Х<3.1(6) 

Вас заинтересует