• Предмет: Алгебра
  • Автор: znenin
  • Вопрос задан 10 лет назад

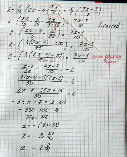
2-1пятнадцатая (2х-4-3х дробная черта 5)=1пятая(7х-3дробная черта 2)

Ответы

Ответ дал: ПростоЛёка
0
не знаю, где реально стоит дробная, поэтому вот так))
Приложения:
Вас заинтересует