• Предмет: Алгебра
  • Автор: runthefoxes
  • Вопрос задан 10 лет назад

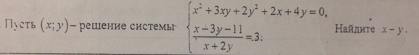
Пусть (x;y) - решение системы. Найдите x-y (система во вложенном фото)

Приложения:

Ответы

Ответ дал: Опыт
0
2(x+2y)+(x+2y)^2-2y^2-xy=0
(x+2y)(2-y+x+2y)=0
x+2y≠0 ОДЗ
x+y+2=0
x=-y-2
(2-y-3y-11)/(-2-y+2y)=3
-13-4y=3y-6
7y=-7
y=-1
x=-1
x-y=0
Ответ дал: NNNLLL54
0
При подстановке в 1 кравнение х=-1 и у=-1 равенство не выходит. В конце 1 равенства олжно стоять не (-2y^2-xy),a (-3y^2-xy).
Ответ дал: NNNLLL54
0
(x+2y)^2-3y^2-xy=x^2+4xy+4y^2-3y^2-xy=x^2+3xy+y^2
Вас заинтересует