• Предмет: Алгебра
  • Автор: mcs16
  • Вопрос задан 10 лет назад

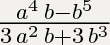
Сокращение. как можно быстро

Приложения:

Ответы

Ответ дал: mathgenius
0
b(a^2-b^2)(a^2+b^2)/3b(a^2+b^2)= (a^2-b^2)/3
Вас заинтересует