Ответы
Ответ дал:
0
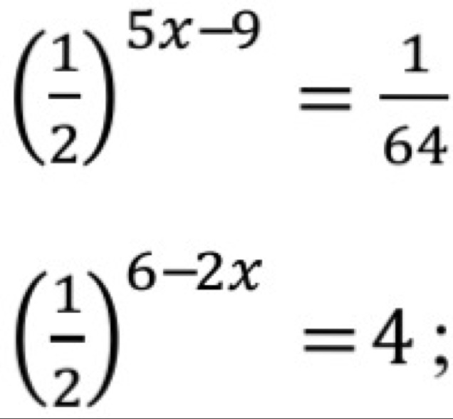
1)12^5x-9=164
12^(5x-9)=12^6
5х-9=6
5х=6+9
5х=15
х=155
х=3
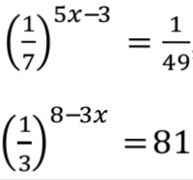
2)17^(5x-3)=149
17^(5x-3)=17^2
5x-3=2
5x=2+3
5x=5
x=55
x=1
3)12^(6-2x)=4
12^(6-2x)=2^2
2^(-(6-2x))=2^2
-(6-2x)=2
-6+2x=2
2x=2+6
2x=8
x=82
x=4
4)13^(8-3x)=81
13^(8-3x)=3^4
3^(-(8-3x))=3^4
-(8-3x)=4
-8+3x=4
3x=4+8
3x=12
x=123
x=4
12^(5x-9)=12^6
5х-9=6
5х=6+9
5х=15
х=155
х=3
2)17^(5x-3)=149
17^(5x-3)=17^2
5x-3=2
5x=2+3
5x=5
x=55
x=1
3)12^(6-2x)=4
12^(6-2x)=2^2
2^(-(6-2x))=2^2
-(6-2x)=2
-6+2x=2
2x=2+6
2x=8
x=82
x=4
4)13^(8-3x)=81
13^(8-3x)=3^4
3^(-(8-3x))=3^4
-(8-3x)=4
-8+3x=4
3x=4+8
3x=12
x=123
x=4
Ответ дал:
0
Отрицательная степень означает деление.
1) (1/2)^(5x-9) = 1*2⁹ / 2^(5x)
1*2⁹ / 2^(5x) = 1/2⁶
Отсюда получаем 2^(5x) = 2^(9+6)
2^(5x) = 2¹⁵
5x = 15 x = 3
2) (1/2)^(6-2x) = 2²
1*2^(2x) / 2⁶ = 2²
2^(2x) = 2⁶ * 2²
2^(2x) = 2⁸
2x = 8 x = 4
3) (1/7)^(5x-3) = 1/7²
7³ / 7^(5x) = 1 / 7²
7^(5x) = 7⁵
5x = 5 x = 1
4) (1/3)^(8-3x) = 3⁴
3^(3x) = 3¹²
3x = 12 x = 4
1) (1/2)^(5x-9) = 1*2⁹ / 2^(5x)
1*2⁹ / 2^(5x) = 1/2⁶
Отсюда получаем 2^(5x) = 2^(9+6)
2^(5x) = 2¹⁵
5x = 15 x = 3
2) (1/2)^(6-2x) = 2²
1*2^(2x) / 2⁶ = 2²
2^(2x) = 2⁶ * 2²
2^(2x) = 2⁸
2x = 8 x = 4
3) (1/7)^(5x-3) = 1/7²
7³ / 7^(5x) = 1 / 7²
7^(5x) = 7⁵
5x = 5 x = 1
4) (1/3)^(8-3x) = 3⁴
3^(3x) = 3¹²
3x = 12 x = 4
Вас заинтересует
3 года назад
3 года назад
8 лет назад
8 лет назад
10 лет назад
11 лет назад