• Предмет: Алгебра
  • Автор: HJozxd3n
  • Вопрос задан 10 лет назад

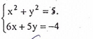
Ребят, помогите, пожалуйста!

Заранее спасибо!!!

Приложения:

Ответы

Ответ дал: infor5
0
см решение в файле................
Приложения:
Вас заинтересует