Ответы
Ответ дал:
0
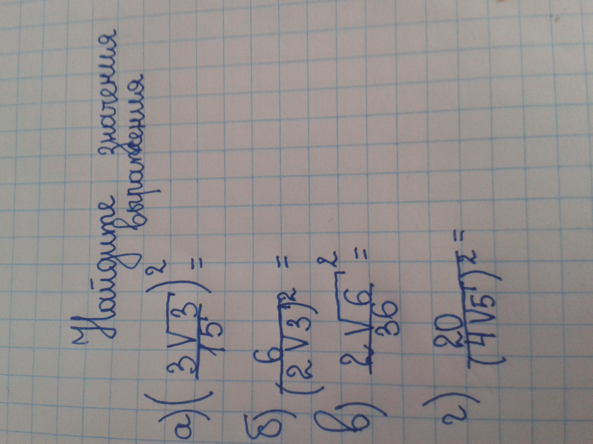
а) (3√3)²=3²·(√3)²=9·3=27
(3√3)²/15=27/15=9/5=1,8
б) (2√3)²=2²·(√3)²=4·3=12
6/(2√3)²=6/12=1/2=0.5
в) (2√6)²=2²·(√6)²=4·6=24
(2√6)²/36=24/36=2/3
г) (4√5)²=4²·(√5)=16·5=80
20/(4√5)²=20/80=1/4
(3√3)²/15=27/15=9/5=1,8
б) (2√3)²=2²·(√3)²=4·3=12
6/(2√3)²=6/12=1/2=0.5
в) (2√6)²=2²·(√6)²=4·6=24
(2√6)²/36=24/36=2/3
г) (4√5)²=4²·(√5)=16·5=80
20/(4√5)²=20/80=1/4
Вас заинтересует
3 года назад
8 лет назад
10 лет назад
10 лет назад
11 лет назад