• Предмет: Алгебра
  • Автор: bishop1995serge
  • Вопрос задан 10 лет назад

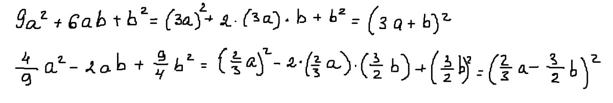
и вот 9a^2+6ab+b^2 и вот 4/9 a^2-2ab+9/4b^2 ладно

Ответы

Ответ дал: Dens89
0
(3a+b)^2
(2/3a-3/2b)^2
Ответ дал: esmilya
0
Если понравилось решение - нажимай "спасибо" и "лучший" (рядом с кнопкой "спасибо") :)
Приложения:
Вас заинтересует