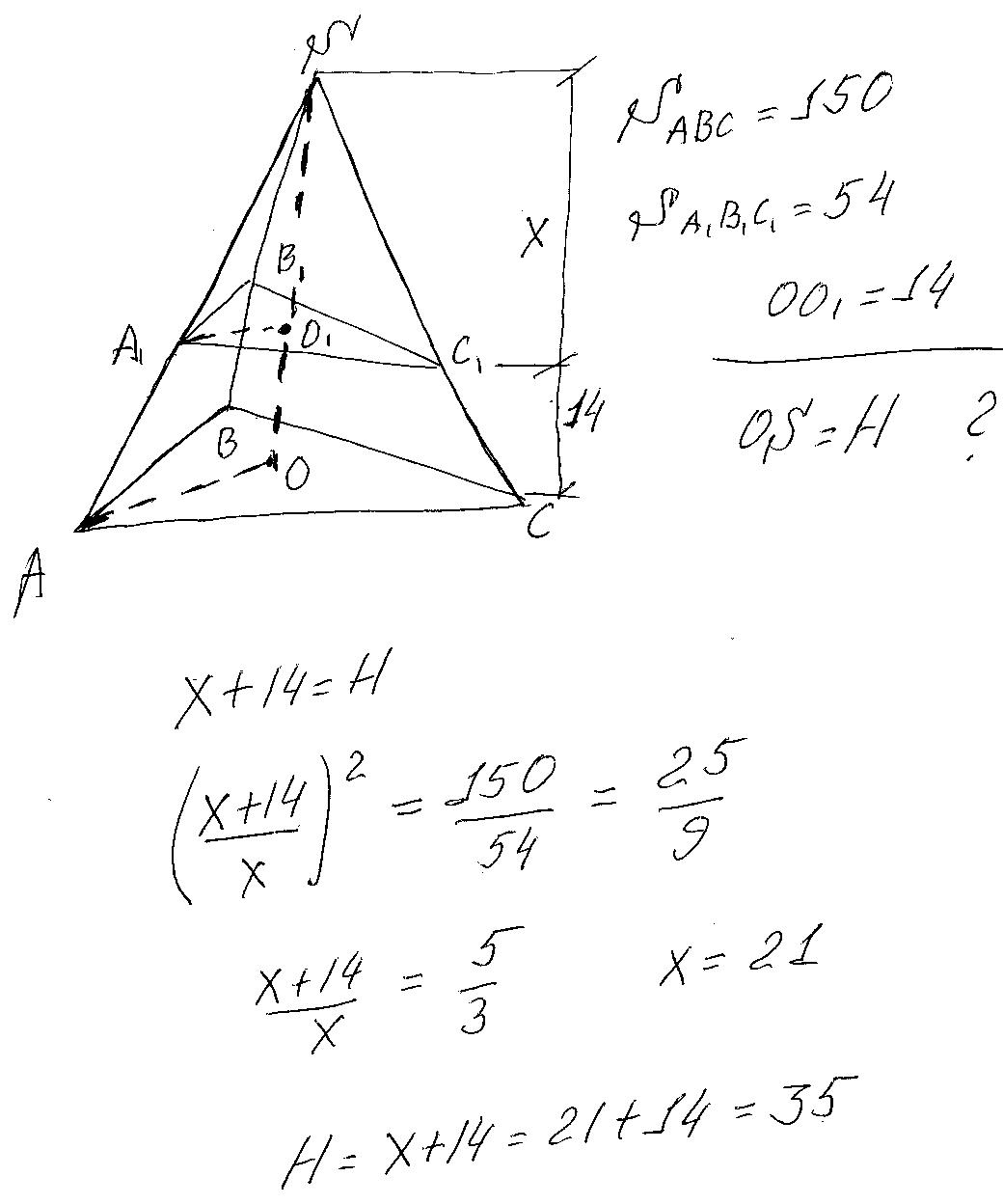
В пирамиде площадь основания равна 150 см2, площадь параллельного сечения 54 см2, расстояние между ними равно 14 см. Определить высоту пирамиды.(Ответ 35)
Ответы
Ответ дал:
0
В данном случае не имеет значения что лежит в основании пирамиды-треугольник, квадрат и т.д. При заданных площадях ответ будет одинаковым. Поэтому для простоты нарисуем треугольную пирамиду(смотри рисунок). Треугольники АSС и А1SС1 подобны поскольку АС1 параллельна АС. Следовательно площади треугольников АВС и А1В1С1 относятся как квадраты сходственных сторон А1С1 и АС. Но с тем же коэффициентом подобия в этих треугольниках относятся и стороны А1S и АS. А эти стороны, в свою очередь являются гипотенузами прямоугольных треугольников А1SО1 и АSО(они так же подобны). Следовательно и отношение (ОS/O1S) в квадрате также будет равно отношению указанных площадей, что и приводится в решении(смотри рисунок). Ответ Н=35.
Приложения:

Вас заинтересует
2 года назад
8 лет назад
10 лет назад
10 лет назад
10 лет назад