• Предмет: Алгебра
  • Автор: Аноним
  • Вопрос задан 10 лет назад

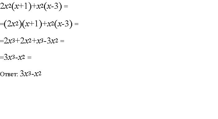
2x^2(x+1)+x^2(x-3) помогите плиз упростить

Ответы

Ответ дал: umbrella2281
0
Решение во вложений..............

Приложения:
Вас заинтересует