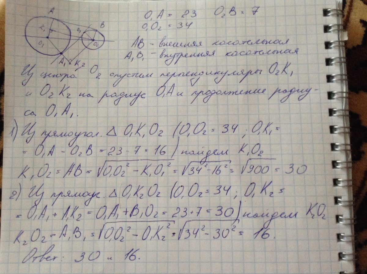
Нужно решение 2 способами !!! Прямая касается окружностей радиусов 23 и 7 в точках A и B . Известно, что расстояние между их центрами равно 34. Найдите длину отрезка AB. Ответ: 30 или 16
Ответы
Ответ дал:
0
Решение вложила на фото
Приложения:

Вас заинтересует
2 года назад
2 года назад
7 лет назад
7 лет назад
10 лет назад
10 лет назад