• Предмет: Физика
  • Автор: mashakasatkina
  • Вопрос задан 11 лет назад

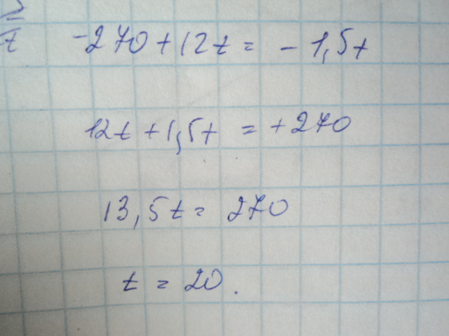
движение грузового автомобиля описываеться уравнением X1=-270+12t, а движение пешехода уравнением X2=-1,5с какими скоростями и в каком напровление они двигались?когда и где они встретились?

Ответы

Ответ дал: Ильнара
0

напрвление: навстречу друг другу (есть рисунок во вложении)

чтобы найти время x1=x2

 

ответ: встретятся на 20 сейкунде  и на -30 метре

Приложения:
Вас заинтересует