• Предмет: Алгебра
  • Автор: artyomnaz
  • Вопрос задан 11 лет назад

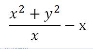
Решите пожалуйста:  выполните вычитание алгебраической дроби(на картинке)

 

Приложения:

Ответы

Ответ дал: Дашуня4676
0

  (x^2+y^2)/x-x=(x^2+y^2)/x-x"умножить на x"=(x^2+y^2-x^2)/x=y^2/x

Вас заинтересует