• Предмет: Алгебра
  • Автор: DownUP
  • Вопрос задан 11 лет назад

Упростите выражение..........

Приложения:

Ответы

Ответ дал: НеЛогичныйМакс
0

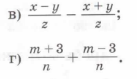
в)х сокращаются, итог -2y/z
G) 2m/n

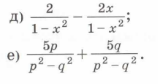
D)2(1-x)/(1-x)(1+x)= 2/1+x

E)5(p+q)/(p-q)(p+q)=5/p-q 

Ответ дал: Loskut
0

 

в) frac{x-y}{z} - frac{x+y}{z} =frac{x-y-x-y}{z} = frac{-2y}{z}

 

г)frac{m+3}{n} - frac{m-3}{n}=frac{m+3+m-3}{n}=frac{2m}{n}

 

д)frac{2}{1-x^{2}} - frac{2x}{1-x^{2}} =frac{2-2x}{1-x^{2}}= frac{2(1-x)}{(1-x)(1+x)}=frac{2}{(1+x)}

 

е)frac{5p}{p^2 - q^2} + frac{5q}{p^2 - q^2}=frac{5p+5q}{(p - q)(p+q)}= frac{5(p+q)}{(p - q)(p+q)}=frac{5}{(p - q)}

Вас заинтересует