• Предмет: Алгебра
  • Автор: mobbydyk
  • Вопрос задан 10 лет назад

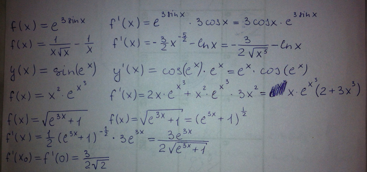
найти пройзводные сложной функций

Приложения:

Ответы

Ответ дал: flsh
0
Добрый вечер!
См. решение в прикреплённом файле
Приложения:
Вас заинтересует