• Предмет: Геометрия
  • Автор: leruchk
  • Вопрос задан 10 лет назад

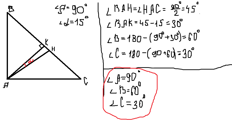
Угол между биссектрисой и высотой прямоугольного треугольника, которые проведены из вершины прямого угла, равен 15°. Вычислите углы треугольника.

Ответы

Ответ дал: Soulfly1
0
решение во вложении.......

Приложения:
Вас заинтересует