• Предмет: Алгебра
  • Автор: Аноним
  • Вопрос задан 10 лет назад

Решите пожалуйста x-x/3=1/2

Ответы

Ответ дал: DimoK3452
0
х-х/3=12
23х=12
х=12:23
х=3/4
Ответ дал: Аноним
0
А как ты получил 2/3x?
Ответ дал: ПростоЛёка
0
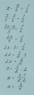
◕‿◕◕‿◕** Решение во вложении **.◕‿◕◕‿◕
Приложения:
Ответ дал: ПростоЛёка
0
ну умница... так короче... я просто думала, что не поймешь, откуда 6...а ты молодчина!!
Ответ дал: Аноним
0
))
Ответ дал: Аноним
0
Я просто за лето много чего забыл.А нам прототипы задали надо делать и вспоминать)
Ответ дал: Аноним
0
))
Вас заинтересует