• Предмет: Алгебра
  • Автор: irinarj
  • Вопрос задан 10 лет назад

помогите, пожалуйста

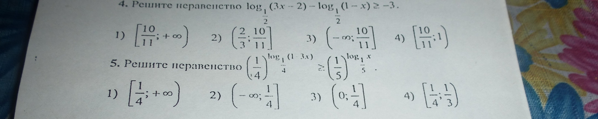
Приложения:

Ответы

Ответ дал: rebrov2707
0
я тебе скинул в сообщение
Вас заинтересует