• Предмет: Алгебра
  • Автор: DoJleKu
  • Вопрос задан 10 лет назад

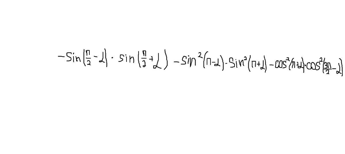
решить по формулам приведения 

Приложения:

Ответы

Ответ дал: lidusya13
0
=-cos a•cos a-sin^2 a•sin^2 a-cos^2а•sin^2 a=- cos^2 a-sin^2 a(sin^2 a+ cos^2 a)=- cos^2 a- sin^2 a•1=-(cos^2 a+sin^2 a)=-1
Вас заинтересует