первую половину времени движения вертолет перемещался на север со скоростью. модуль которой v1=30м/c .а вторую половину времени-на восток со скоростью. модуль которой v2=40м/c разность между средней путевой скоростью и модулем скорости перемещения составляет: и мне надо решение этой задачи.помогите пожалуйста
Ответы
Ответ дал:
0
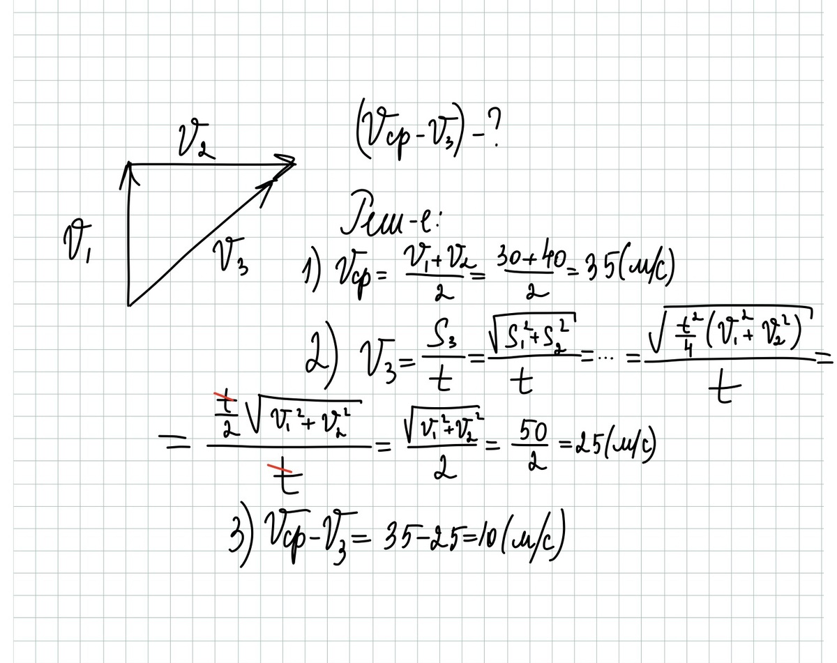
Дано V1=30 м/с V2=40 м/с ΔVср - ?
1) средняя путевая скорость Vср1=(S1+S2)/t= (V1*0,5*t +V2*0,5*t)/t=(V1+V2)/2=(30+40)/2=35 м/с
2)Средняя скорость перемещения Vср2=S/t=√(S1² +S2²)/t=√(V1²*t²/4+ +V2²*t²/4)/t=√V1²+V2²/2=50/2=25 м/с
ΔVср=35-25=10 м/с
Ответ ΔV=10 м/с
Ответ у вас наверное есть, могли бы и написать
1) средняя путевая скорость Vср1=(S1+S2)/t= (V1*0,5*t +V2*0,5*t)/t=(V1+V2)/2=(30+40)/2=35 м/с
2)Средняя скорость перемещения Vср2=S/t=√(S1² +S2²)/t=√(V1²*t²/4+ +V2²*t²/4)/t=√V1²+V2²/2=50/2=25 м/с
ΔVср=35-25=10 м/с
Ответ ΔV=10 м/с
Ответ у вас наверное есть, могли бы и написать
Ответ дал:
0
0.5 октуда брали ?
Ответ дал:
0
t/2=0,5*t - ЭТО ОЧЕВИДНО ( половина времени)
Ответ дал:
0
спасибо большое вам.извините за то что ответы не написал
Ответ дал:
0
СПАСИБО за ЗВЕЗДЫ
Ответ дал:
0
Ответ к заданию на рисунке
Приложения:

Ответ дал:
0
Я привык работать на планшете,и поэтому рисунки иногда получаются как по линейке
Ответ дал:
0
Пока
Ответ дал:
0
Успехов Вам в работе!
Вас заинтересует
2 года назад
7 лет назад
7 лет назад
10 лет назад
10 лет назад
10 лет назад