• Предмет: Химия
  • Автор: nania
  • Вопрос задан 11 лет назад

Тема амфотерность.Помогите пожалуйста срочно и сами с просьбами обращайтесь.

Приложения:

Ответы

Ответ дал: YlianaKnown123
0

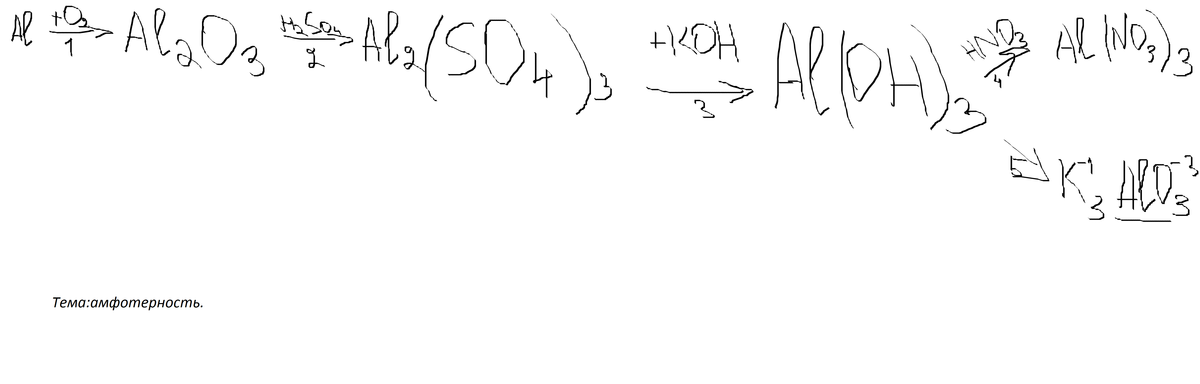
1) 4Al + 3O2 = 2Al2O3

2) Al2O3 + 3H2SO4 = Al2(SO4)3 + 3H2O

3)  Al2(SO4)3+ 6KOH = 2Al(OH)3 +3 K2SO4

4)Al(OH)3 + 3HNO3 = Al(NO3)3 + 3H2O

5) Al(OH) 3 + 3KOH = K3AlO3 + 3H20

Вас заинтересует