• Предмет: Алгебра
  • Автор: Polina01041998
  • Вопрос задан 10 лет назад

Умоляю, помогите решить два примера.

Приложения:

Ответы

Ответ дал: philadelphiaex
0
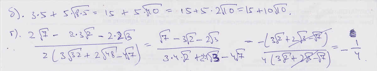
Посмотри ответ во вложении.
Приложения:
Вас заинтересует