• Предмет: Геометрия
  • Автор: Инесса78205
  • Вопрос задан 11 лет назад

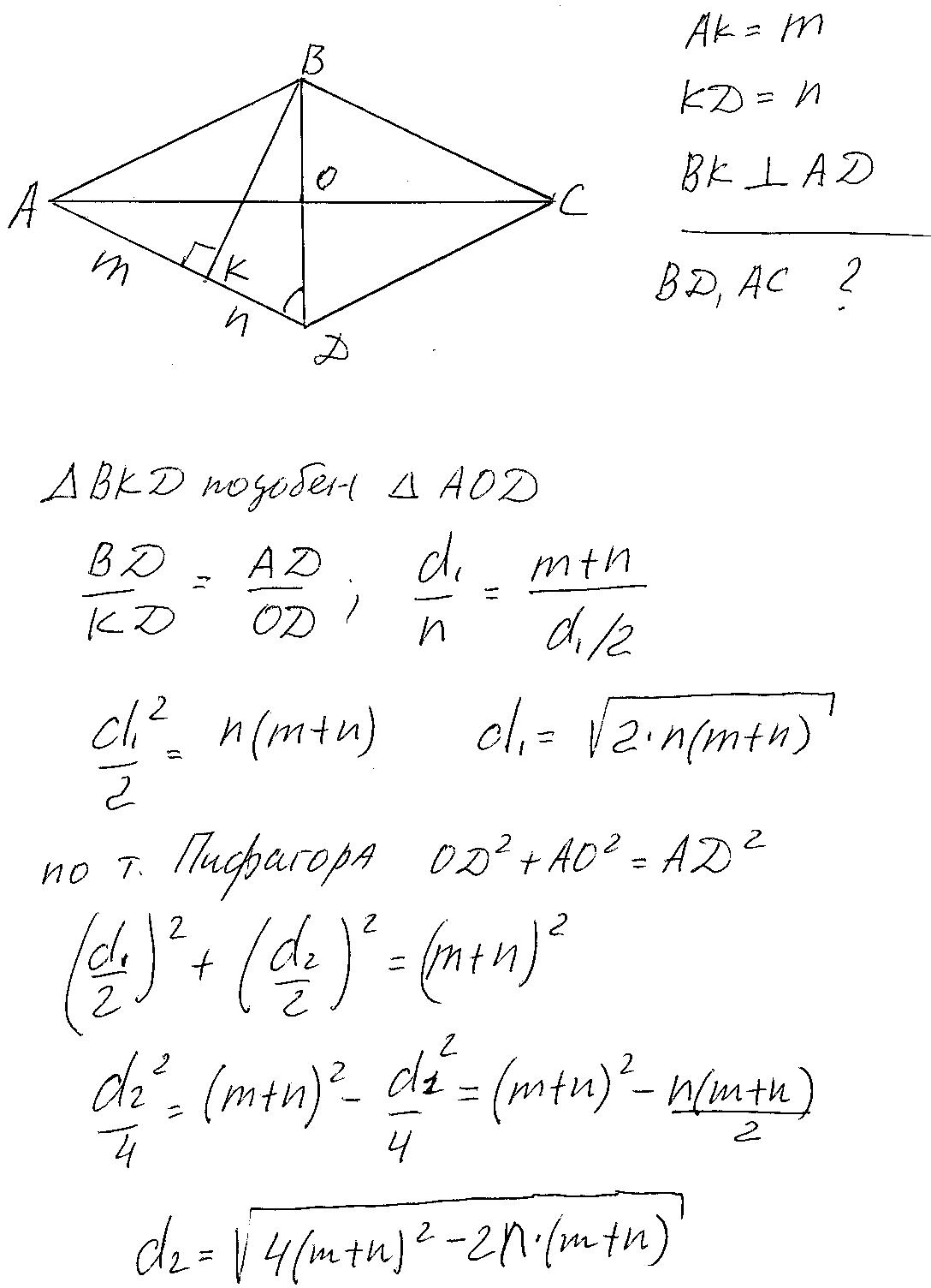
Ребят, помогите оч нужно.. Высота ромба, проведенная из вершины тупого угла, делит его сторону на отрезки, равные m и n (от вершины острого угла) Найдите диагонали ромба =)

Ответы

Ответ дал: Fatter
0

Проведём высоту ВК, треугольники ВКД и АОД подобны как прямоугольные с общим острым углом ВДА(смотри рисунок). Отсюда находим ВД=d1. Диагонали ромба перпендикулярны и делятся в точке пересечения пополам. По теореме Пифагора находим АС=d2.

Приложения:
Вас заинтересует