• Предмет: Алгебра
  • Автор: ladydream
  • Вопрос задан 11 лет назад

x+y=2

xy=-15

система нелинейных уравнений

Ответы

Ответ дал: Arina23
0

1)x+y=2

2)xy=-15

 

1)x=2-y

2)(2-y)y=-15

2y-y^2+15=0

-y^2+2y+15

D/4=1+15*1=16

y1=-1+4/-1=-3

y2=-1-4/-1=5

 

1)x1=2+3=5

x2=2-5=-3

 

Ответ:(5;-3) и (-3;5)

Ответ дал: WhatYouNeed
0

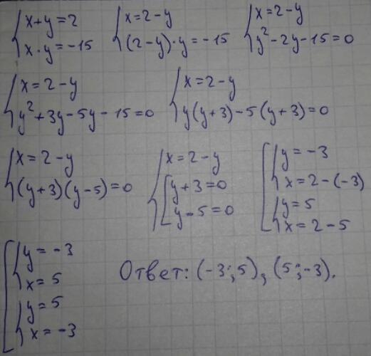
Ответ на задание смотри в приложении.

Приложения:
Вас заинтересует