• Предмет: Геометрия
  • Автор: Tarantul11
  • Вопрос задан 11 лет назад

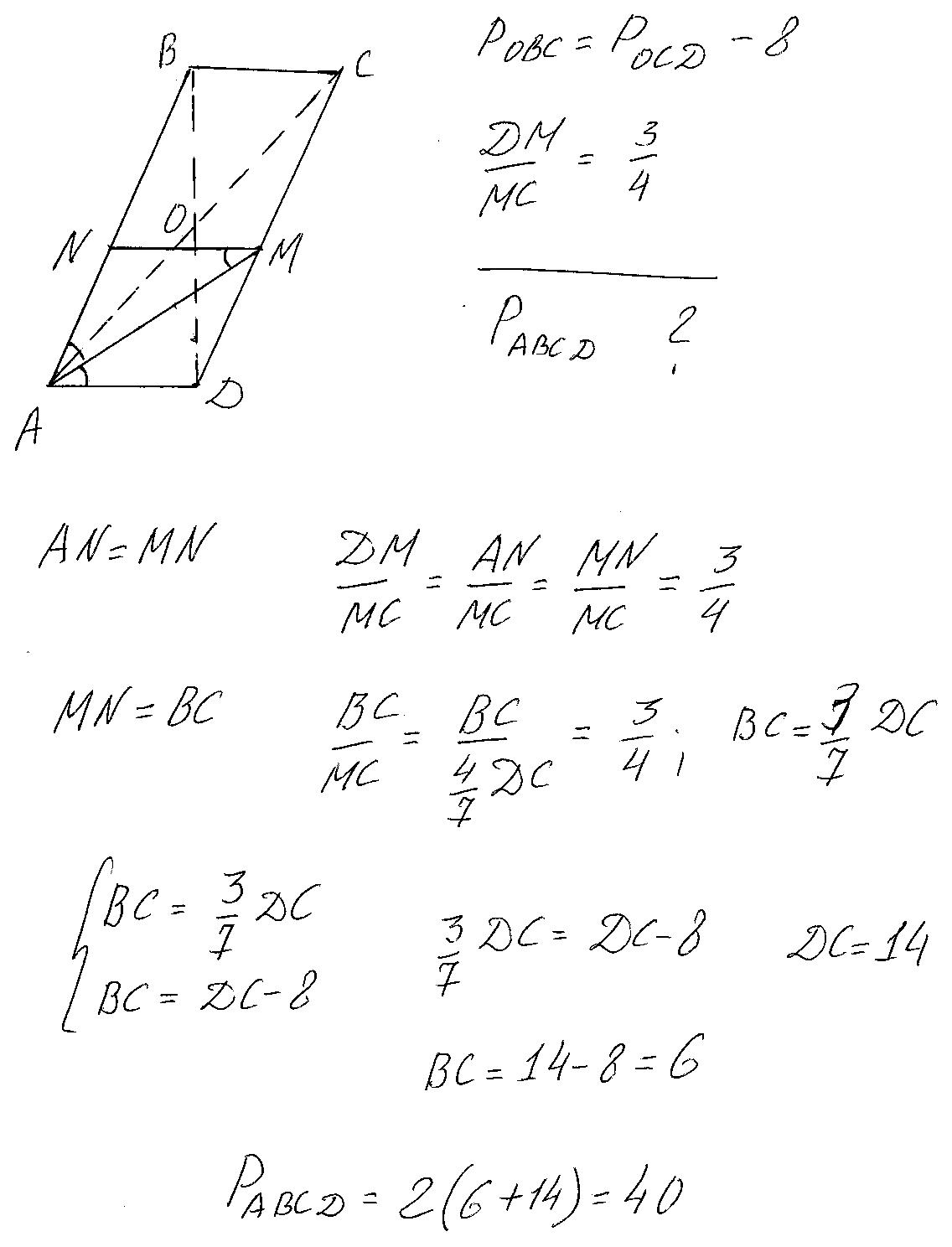
В параллелограмме ABCD диагонали перескеаютсся в точке 0. Периметр треуг. OBC на 8 см меньше периметра треуг. OCD. Сторона DC пересекает биссектрису угла BAD в точке M так, что DM : MC = 3:4. Найдите стороны и периметр ABCD

Ответы

Ответ дал: Fatter
0

Из точки М проведём прямую параллельно  АД(смотри рисунок). Углы ДАМ и NМА равны как накрест лежащие, а углы NАМ и ДАМ-равны по условию, тогда углы NАМ и NМА также равны и треугольник ANM-равнобедренный. Следовательно АN=МN. Поскольку в параллелограмме диагонали в точке пересечения делятся пополам, то периметры треугольников ОВС и ОСД будут состоять из двух  равных отрезков ОВ=ОД, общей стороны ОС и сторон ВС и ДС. То есть разность периметров будет равна разности сторон ДС и ВС. Далее, исходя из заданной пропорции находим ДС=14, и ВС=6., а также Равсд=40.

Приложения:
Вас заинтересует