Ответы
Ответ дал:
0
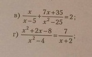
х≠+5 и -5
х²+5х+7х+35=2х²-50
х²-12х-85=0
х₁=12+√(144+340) = 12+22 = 17
2 2
х₂=12-√(144+340) = 12-22 =-5 не подходит
2 2
х≠+2 и -2
х²+2х-8=7х-14
х²-5х+6=0
х₁=5+√(25-24) = 5+1 = 3
2 2
х₂=5-√(25-24) = 5-1 = 2 не подходит
2 2
х²+5х+7х+35=2х²-50
х²-12х-85=0
х₁=12+√(144+340) = 12+22 = 17
2 2
х₂=12-√(144+340) = 12-22 =-5 не подходит
2 2
х≠+2 и -2
х²+2х-8=7х-14
х²-5х+6=0
х₁=5+√(25-24) = 5+1 = 3
2 2
х₂=5-√(25-24) = 5-1 = 2 не подходит
2 2
Вас заинтересует
3 года назад
8 лет назад
10 лет назад
11 лет назад