Ответы
Ответ дал:
0
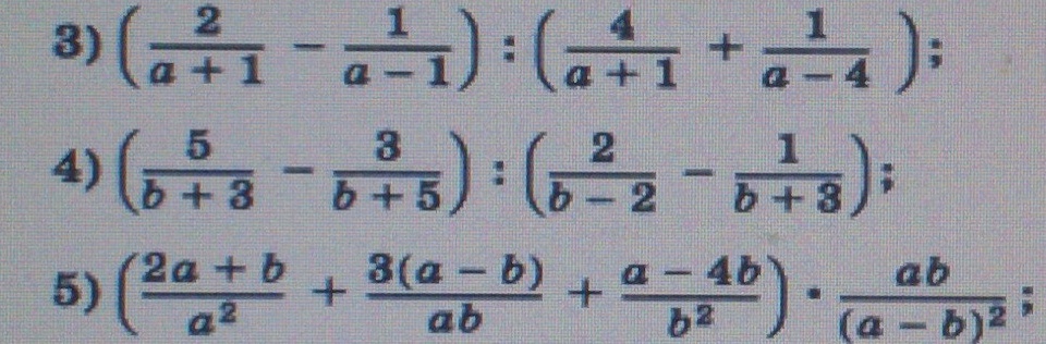
1) (2/(a + 1) - 1/(a - 1)) : (4/(a + 1) + 1/(a -4)) = (2(a - 1) - (a + 1))/(a - 1)(a + 1) : (4(a - 4) + (a + 1))/(a + 1)(a - 4) = (2a - 2 - a - 1)/(a + 1)(a - 1) : (4a - 16 + a + 1)/(a + 1)(a - 4) = (a - 3)/(a + 1)(a - 1) * (a + 1)(a - 4)/(5a - 15) = (a - 3)/(a - 1) * (a - 4)/5(a - 3) = (a - 4)/5(a - 1)
2) (5/(b + 3) - 3/(b + 5)) : (2/(b - 2) - 1/(b + 3)) = (5(b + 5) - 3(b + 3))/(b + 3)(b + 5) : (2(b + 3) - 1(b - 2))/(b - 2)(b + 3) = (5b + 25 - 3b - 9)/(b + 3)(b + 5) : (2b + 6 - b + 2)/(b - 2)(b + 3) = (2b + 16)/(b + 3)(b + 5) : (b + 8)/(b - 2)(b + 3) = 2(b + 8)/(b + 3)(b + 5) * (b - 2)(b + 3)/(b + 8) = 2(b - 2)/b + 5
3) ((2a + b)/a^2 + 3(a - b)/ab + (a - 4b)/b^2) * ab/(a - b)^2 = (b^2(2a + b) + 3ab(a - b) + a^2(a - 4b))/a^2 b^2 * ab/(a - b)^2 = (2ab^2 + b^3 + 3a^2b - 3ab^2 + a^3 - 4a^2 b)/ab(a - b)^2 = (a^3 - a^2b - ab^2 + b^3)/ab(a - b)^2 = ((a + b)(a^2 - ab + b^2) - ab(a + b))/ab(a - b)^2 = (a + b)(a^2 - 2ab + b^2)/ab(a - b)^2 = (a + b)(a - b)^2/ab(a - b)^2 = (a + b)/ab
2) (5/(b + 3) - 3/(b + 5)) : (2/(b - 2) - 1/(b + 3)) = (5(b + 5) - 3(b + 3))/(b + 3)(b + 5) : (2(b + 3) - 1(b - 2))/(b - 2)(b + 3) = (5b + 25 - 3b - 9)/(b + 3)(b + 5) : (2b + 6 - b + 2)/(b - 2)(b + 3) = (2b + 16)/(b + 3)(b + 5) : (b + 8)/(b - 2)(b + 3) = 2(b + 8)/(b + 3)(b + 5) * (b - 2)(b + 3)/(b + 8) = 2(b - 2)/b + 5
3) ((2a + b)/a^2 + 3(a - b)/ab + (a - 4b)/b^2) * ab/(a - b)^2 = (b^2(2a + b) + 3ab(a - b) + a^2(a - 4b))/a^2 b^2 * ab/(a - b)^2 = (2ab^2 + b^3 + 3a^2b - 3ab^2 + a^3 - 4a^2 b)/ab(a - b)^2 = (a^3 - a^2b - ab^2 + b^3)/ab(a - b)^2 = ((a + b)(a^2 - ab + b^2) - ab(a + b))/ab(a - b)^2 = (a + b)(a^2 - 2ab + b^2)/ab(a - b)^2 = (a + b)(a - b)^2/ab(a - b)^2 = (a + b)/ab
Вас заинтересует
3 года назад
3 года назад
8 лет назад
8 лет назад
10 лет назад
10 лет назад
11 лет назад