• Предмет: Алгебра
  • Автор: kristinat981
  • Вопрос задан 10 лет назад

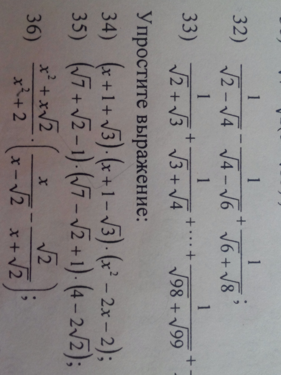
помогите решить номер 34

Приложения:

Ответы

Ответ дал: infor5
0
см решение в файле..
Приложения:
Ответ дал: Еpifanа
0
(x+1+ sqrt{3})(x+1- sqrt{3})( x^{2}-2x-2)  = ((x+1)^2-(sqrt{3})^2)( x^{2}-2x-2)  = (x^2+2x+1-3)( x^{2}-2x-2) = (x^2+2x-2)( x^{2}-2x-2)= x^4-2x^3-2x^2+2x^3-4x^2-4x-2x^2+4x+4 = x^4-8x^2+4
Приложения:
Вас заинтересует