Пожалуйста,помогите решить уравнение! Задание на лето ! Всё лето не решала , а теперь вспомнить не могу. Помогите! И пожалуйста, шаг за шагом)
Приложения:

Ответы
Ответ дал:
0
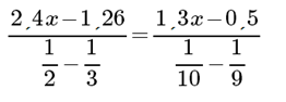
1) преобразуем знаменатель левой части: 1/2-1/3=3/6-2/6=1/6
2) преобразуем знаменатель правой части: 1/10-1/9=9/90-10/90=-1/90
3)умножим получившуюся левую дробь на 6, получим: (2,4*х-1,26)*6
4) умножим получившуюся правую дробь на -90, получим: (0,5-1,3*х)*90
5)составим равенство (2,4*х-1,26)*6=(0,5-1,3*х)*90 и раскроем скобки:
14,4*х-7,56=45-117*х , перенесем выражения с Х вправо, без Х - влево: 14,4*х+117*х=45+7,56 ; 131,4*х=52,56 ; х=52,56/131,4 ; х=0,4
2) преобразуем знаменатель правой части: 1/10-1/9=9/90-10/90=-1/90
3)умножим получившуюся левую дробь на 6, получим: (2,4*х-1,26)*6
4) умножим получившуюся правую дробь на -90, получим: (0,5-1,3*х)*90
5)составим равенство (2,4*х-1,26)*6=(0,5-1,3*х)*90 и раскроем скобки:
14,4*х-7,56=45-117*х , перенесем выражения с Х вправо, без Х - влево: 14,4*х+117*х=45+7,56 ; 131,4*х=52,56 ; х=52,56/131,4 ; х=0,4
Вас заинтересует
2 года назад
2 года назад
7 лет назад
7 лет назад
10 лет назад
10 лет назад
10 лет назад